介紹
閔科夫斯基不等式
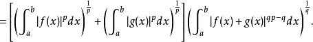
閔科夫斯基不等式在數學中, 閔可夫斯基不等式(Minkowskiinequality)表明L空間是一個賦范向量空間。設S是一個度量空間, ,那么 ,我們有:
閔科夫斯基不等式
閔科夫斯基不等式
閔科夫斯基不等式如果 ,等號成立若且唯若,或者g=kf。
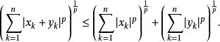
閔科夫斯基不等式閔可夫斯基不等式是 中的三角不等式。它可以用赫爾德不等式來證明。和赫爾德不等式一樣,閔可夫斯基不等式取可數測度可以寫成序列或向量的特殊形式:
閔科夫斯基不等式
閔科夫斯基不等式
閔科夫斯基不等式
閔科夫斯基不等式
閔科夫斯基不等式將所有實數(n為S的維數)改成複數同樣成立。值得指出的是,如果 ,則 可以變為 。
積分形式的證明
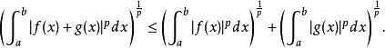
閔科夫斯基不等式我們考慮 的p次冪:
閔科夫斯基不等式(用三角形不等式展開|f(x)+g(x)|)
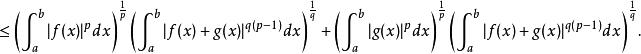
閔科夫斯基不等式(用赫爾德不等式)
閔科夫斯基不等式
閔科夫斯基不等式
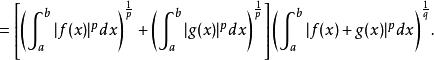
閔科夫斯基不等式(利用 p=qp-q,因為)
閔科夫斯基不等式現在我們考慮這個不等式序列的首尾兩項。首項除以尾項的最後一個因子,即得
閔科夫斯基不等式這正是我們所要的結論。對於序列的情形,證明是完全類似的。
參閱
•馬勒不等式
