積分不等式
正文
分析數學中常用到下列積分不等式。楊不等式 設ƒ(x)是定義在【0, A】上滿足ƒ(0)=0的嚴格單調增加的連續函式,ƒ-1(y)是ƒ(x)的反函式,則對任何
α∈【0,A】,b∈【0,ƒ(A)】,
有
特別,當ƒ(x)=xα(α>0)時,令


赫爾德不等式 設(X,φ,μ)是測度空間(見測度論),E ∈φ,ƒ(x)、g(x)分別在 E上p 次、q次

可積,則 ƒ(x)g(x)在E上可積,並且 
argƒ(x)g(x)=θ , с1|ƒ(x)|p=с2|g(x)|q
在E上幾乎處處成立。由積分的赫爾德不等式立即可得級數的赫爾德不等式:設

,則
絕對收斂,並且
。
施瓦茲不等式 赫爾德不等式中用得最普遍的是p=q=2的情況,此時的赫爾德不等式稱為施瓦茲不等式,有時也稱為柯西不等式或布尼亞科夫斯基不等式。它的積分形式、級數形式分別為

с1ƒ(x)=с2g(x)
在E上幾乎處處成立和對一切自然數n,с1αn=с2bn。閔科夫斯基不等式 設(X,φ,μ是測度空間,E∈φ,ƒ(x),g(x)都是E上p次(p≥1)可積函式,則ƒ(x)+g(x)在E上p次可積,並且
。
с1ƒ(x)=с2g(x)
在E上幾乎處處成立;當p=1時,上式中等號成立的充要條件是,argƒ(x)=argg(x)在E上幾乎處處成立。由積分的閔科夫斯基不等式,可得級數的閔科夫斯基不等式:如果
,p≥1,則 
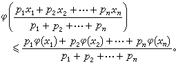
延森不等式 設φ(x)是【α,b】上有限實函式,如果對任何x1,x2∈【α,b】以及任何正數p1、p2,都有


,而ƒ(x)是E上可測函式,並且α≤ƒ(x)≤b,則
。

