正文
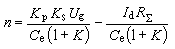
與控制對象存在反饋聯繫的控制電路。開環控制電路結構簡單,成本低,但控制精度較低。為在系統中保持轉速的恆定,可以加入一些測量比較元件組成閉環系統(圖1)。
閉環控制電路
閉環控制電路

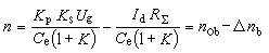
分別表示開環和閉環系統的機械特性。可見,只要系統的開環放大倍數K足夠大,總可以把閉環系統的靜態轉速降Δпb減小到允許的範圍,並把調速範圍提高到預定的要求。
閉環控制電路是指與控制對象存在反饋聯繫的控制電路。開環控制電路結構簡單,成本低,但控制精度較低。為在系統中保持轉速的恆定,可以加入一些測量比較元件組成閉環系統。
閉環控制電路
閉環控制電路

分別表示開環和閉環系統的機械特性。可見,只要系統的開環放大倍數K足夠大,總可以把閉環系統的靜態轉速降Δпb減小到允許的範圍,並把調速範圍提高到預定的要求。控制電路的基本作用有以下幾個方面:①採用各種調節元件來控制變換裝置,以提供所需要的電能。 按控制方式分為開環控制電路和閉環控制電路。 按控制信號性質可分...
變流器的控制電路 正文 配圖 相關連線開環控制電路是與控制對象只存在單向作用而沒有反饋聯繫的控制電路。
正文 閉環控制電路以模擬信號為工作信號的控制電路,模擬信號指所有在時間和數值上都連續的信號,以該種信號作為輸入(一般從主電路中採樣進行前饋或者反饋),實現某種控制功能的電...
電路介紹 雙環控制 PLC模擬《輕鬆看懂電動機控制電路》是2014年化學工業出版社出版的圖書,圖書作者是張伯虎。
基本信息 內容簡介 圖書目錄《測量與控制電路》是為適應高等學校教學內容與課程體系改革的需要,將原有的《測控電路》、《控制電機》和《顯示儀表》等課程的主要內容有機地整合成一門專業基礎...
內容簡介 圖書目錄自動增益控制(英文名稱:automatic gain control;AGC),對放大器的增益進行自動調節的過程。通常是為了使隨輸入信號電平變化而引起的...
簡介 工作原理 方法 作用 套用三相閉環觸發器是專用可控矽移相觸發積體電路。輸出觸發脈衝具有極高的對稱性和穩定性,不隨環境溫度變化,無相序要求。內含完整的缺相、過流、過熱等故障保護功能...
技術指標 工作方法 用途 特點 故障排除法單相閉環觸發器是引進國外先進的專用可控矽移相觸發積體電路。輸出觸發脈衝具有極高的對稱性和穩定性,不隨環境溫度變化。內含完整的恆電流、恆電壓、過流、過熱等...
特點 技術指標及使用 工作方法 故障排除法