概述
當一個電子以某種方式從一個定態向另一個定態躍遷時,原子就會吸收或發射光子。
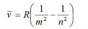
里德堡常數1913年裡德堡從實驗中發現了氫原子可見光譜中各線條光頻率之間的關係,即:
其中: m取1、2、3、4、5等正整數, n取 m+1、 m+2、 m+3、…等正整數,每一個 n值對應一條譜線;R稱為里德堡常數。對於氫,在假設原子核相對於電子的質量是無窮大時, R=10973731.568549,單位是米的倒數。
推導
詳細步驟可見圖中推導:
推導2
推導3
推導4
里德堡常數是一個物理常數,描述的是當一個電子以某種方式從一個定態向另一個定態躍遷時,原子就會吸收或發射光子。
當一個電子以某種方式從一個定態向另一個定態躍遷時,原子就會吸收或發射光子。
里德堡常數1913年裡德堡從實驗中發現了氫原子可見光譜中各線條光頻率之間的關係,即:
其中: m取1、2、3、4、5等正整數, n取 m+1、 m+2、 m+3、…等正整數,每一個 n值對應一條譜線;R稱為里德堡常數。對於氫,在假設原子核相對於電子的質量是無窮大時, R=10973731.568549,單位是米的倒數。
詳細步驟可見圖中推導:
推導2
推導3
推導4里德堡態指的是原子或分子的一種狀態。在該狀態下,原子或分子中的一個電子被激發到主量子數較高的軌道。通常情況下,這樣的狀態指的是將一個電子放在與離子實相比...
定義 介紹 特性最不保守的科學家都在潛意識裡對它懷有深深的懼意。現代文明的繁盛是理性...的景色似乎沒有分散海因里希•魯道夫•赫茲(Heinrich Rudolf...開關。頓時,電的魔力開始在這個簡單的系統里展現出來:無形的電流穿過裝置里...
《上帝擲骰子嗎》 序 第一章 黃金時代 第二章 烏雲 第三章 火流星不確定性原理(Uncertainty principle)是由海森堡於1927年提出,這個理論是說,你不可能同時知道一個粒子的位置和它的速度,粒子位置的...
定律定義 定律影響 發展簡史 理論背景 霍金觀點萊昂哈德·歐拉(Leonhard Euler ,1707年4月15日~1783年9月18日),瑞士數學家、自然科學家。1707年4月15日出生於瑞士的巴...
人物生平 職業生涯 學術成就 主要成就 歐拉全集萊昂哈德·歐拉(Leonhard Euler ,1707年4月15日~1783年9月18日),瑞士數學家、自然科學家。1707年4月15日出生於瑞士的巴...
人物生平 職業生涯 學術成就 主要成就 歐拉全集阿德利昂·瑪利·埃·勒讓德(公元1752年9月18日- 1833年1月10日)為法國數學家,生於巴黎,卒於同地。約1770年畢業於馬扎蘭學院。1775年...
人物簡介 人物生平 主要貢獻 肖像爭議阿德利昂·瑪利·埃·勒讓德(公元1752年9月18日- 1833年1月10日)為法國數學家,生於巴黎,卒於同地。約1770年畢業於馬扎蘭學院。1775年...
人物簡介 人物生平 主要貢獻 肖像爭議科學史理論4.再論歸納問題5.費耶阿本德的認識論無政府狀態科學哲學術語...、奶品科學、食用肉和肉血科學、甚至喪葬科學都是在美國的學院和大學裡通常講授著或者最近講授過的課程。[i]在這些領域裡自稱為“科學家”的人,往往認為...
目 錄 序 導 言 第二章、歸納問題 第三章、觀察依賴於理論