藥品簡介
通用名 醋酸氫化可的松眼膏
英文名 HYDROCORTISONE ACETATE EYE OINTMENT
拼音名 CUSUAN QINGHUAKEDISONG YANGAO
藥品類別 眼科用藥
性狀 本品為黃色眼用軟膏。
貯藏 密閉,在陰涼乾燥處保存。
主要成分
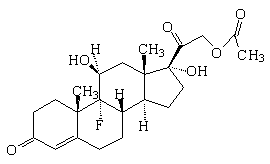
醋酸氫化可的松通用名 醋酸氫化可的松
化學名 11β,17α,21-三羥基孕甾-4-烯-3,20-二酮-21-醋酸酯
拼音名 CUSUAN QINGHUAKEDISONG
英文名 HYDROCORTISONE ACETATE
CAS No. 50-03-3
分子式 C24H32O6
分子量 404.50
規 格 0.5%
藥理毒理
腎上腺皮質激素類藥。本品具有抗炎及抗過敏作用,能抑制結締組織的增生,降低毛細血管壁和細胞膜的通透性,減少炎性滲出,並能抑制組胺及其它毒性物質的形成與釋放。
適應症
腎上腺皮質激素類藥。適用於過敏性結膜炎、角膜炎、結膜炎、瞼炎、眼紅、淚囊炎等眼部創傷。
用法用量
塗於眼瞼內,一日3次。
不良反應
可誘發真菌性眼瞼炎,上皮性角膜炎,青光眼,頻繁長期使用也可出現全身性不良反應。
禁忌症
單純皰疹性或潰瘍性角膜炎禁用(可惡化病變以發展成非可逆性角膜渾濁)。
注意事項
1.眼部細菌性或病毒性感染時應與抗菌藥物合用。
2.應定期檢查眼壓和有無皰疹性或黴菌性角膜炎早期症候。
用藥
孕婦及哺乳期婦女用藥 頻繁、長期應慎用。
兒童用藥
老年患者用藥
藥物相互作用
尚不明確。
