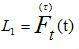
定義
速度梯度是理性力學中一個有關變形的時間的量,它定義為:
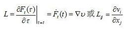
速度梯度式中速度梯度 L是二階張量;
速度梯度
速度梯度
速度梯度
速度梯度
速度梯度表示把相對變形梯度 F()對進行一次微分並令=t;是梯度算符; υ是速度。把速度梯度進行加法分解(見張量),則
L=D+W
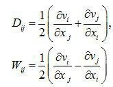
式中 D和 W為 L的對稱部分和反稱部分,它們分別稱為變形速率張量和轉動速率張量。寫成分量形式則為:
速度梯度在理性力學中,研究 n階錯綜度里夫林-埃里克森流體 (見里夫林-埃里克森張量)要用到 n階速度梯度的概念。把上面定義的速度梯度 L看為一階速度梯度,即
速度梯度,則 n階速度梯度可以寫成:
速度梯度
速度梯度
速度梯度
速度梯度它表示把相對變形梯度 F()對進行 n次微分並令=t的結果。
從物理上看,當流體在兩界面之間流動時,由於材料之間摩擦力的存在,使流體內部與流體和界面接觸處的流動速度發生差別,產生一個漸變的速度場,即為速度梯度,或稱剪下速率。
速度梯度關係
速度梯度的大小與流體內部分子結構、界面作用力及溫度、速度等有關。當在流體中具有速度梯度時,流速大的流體具有加速與之接近的流速慢的流體的力(或流速小的流體具有減速與之接近的流速快的流體的力),即產生了黏性力,該力隨速度梯度的加大而增大,而且流速不同的兩流層接觸面積越大這個力越大。

