概述
速度係數是另一個無量綱速度,其地位與馬赫數相同,引進速度係數的意義在於有時使用它比使用馬赫數方便一些。
速度係數是速度與臨界音速之比。可見速度係數與馬赫數之間的關係,當M=0,λ=0;當M=1,λ=1;另外,總靜參數比也可以通過速度係數表示。
石油技術中的速度係數
氣體流經井底附近孔隙介質時出現極高流速,其數量級和產生的影響都大大超過油井,適用於油井的達西公式已不能很好地反映氣井井底的滲流特徵,而採用非達西公式描述。例如:
速度係數其中μ為氣體粘度;K為氣體滲透率;;u為滲透速度;β和γ均稱速度係數,β稱第一速度係數 (first velocity coeici-ent),γ稱第二速度係數 (second velocity ccefficient)。β是描述特定岩心中紊流影響的多孔介質岩性參數,其值由實驗測定,也可用經驗公式計算。
離心泵速度係數設計法
用速度係數法設計葉輪,是泵類產品設計中最常用的方法之一,總休來說,這種方法方便、簡單、可靠,受到廣大工程技術人員的普遍歡迎。由於這一方法建立在對一系列性能較好的泵的統計資料基礎之上,故用來統計的泵占有相當重要的地位,它直接影響著所設計產品性能的好壞和設計水平的高低。
混流泵速度係數設計法
混流泵介於離心泵和軸流泵之間,比轉速範圍通常為300~600。它廣泛套用於農田灌溉、防洪排澇、污水處理、電站冷卻循環系統等方面中低揚程、較大流量領域。速度係數法是基於相似理論的一種設計方法,該方法建立在大量性能優良的模型泵統計資料基礎上,把統計的速度係數按照比轉速n。繪製成速度係數曲線,在進行水力設計時,通過查取速度係數來確定泵的幾何參數。該方法簡單實用,被廣泛套用於泵的水力設計中。混流泵常採用速度係數法來進行初步設計,設計程式簡單,可靠性較高,可以在短時間內設計出滿足要求的泵。採用速度係數法設計的不足是:(1)在設計過程中要在各種速度係數圖上查取係數值,查得的係數誤差較大,精度較低,操作繁瑣;(2)在使用計算機進行設計時,這種方法不便於計算機的編程計算,計算時所需係數都需要人工查取,再輸人計算機中計算,容易受到人為因素的影響,設計效率較低。
設計時的速度係數按下式計算得出:
速度係數其中,ns為設計(額定)比轉速。
汽輪機噴嘴設計中的套用
噴嘴速度係數是衡量噴嘴內能量損失大小的一個指標,也是影響汽輪機噴嘴設計的一個重要參數。因此,準確的研究噴嘴速度係數及影響因素對評價汽輪機噴嘴能量損失起至關重要的作用。在透平的氣動力計算中,常常通過噴嘴的速度係數求得噴嘴出口的實際速度,而噴嘴速度係數通常由實驗確定。在葉柵的實驗研究中,我國通常採用能量損失係數,而在英、美等西方國家則採用總壓損失係數。而隨著計算機的發展,對於研究透平機械實際流動特性,藉助於商業軟體計算的特性參數繁冗複雜,評價能量損失產生的物理本質的標準並不明確。
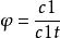
在實際流動過程中,蒸汽在噴嘴中流動存在各種損失,使得噴嘴出口的實際速度c1小於理想速度c1t,其比值稱為噴嘴速度係數,用φ表示,即:
速度係數影響噴嘴速度係數的因素有噴嘴前後壓比、表面粗糙度、多變指數、馬赫數等。研究表明,噴嘴速度係數與噴嘴前後壓比和馬赫數有關。當噴嘴前後壓比一定時,噴嘴速度係數隨馬赫數的增大而增大。
當總壓損失係數一定時,噴嘴速度係數隨噴嘴前後壓比的增大而減小。當其它參數一定時,噴嘴速度係數隨表面粗糙度的增加而減小,且減小的程度逐漸降低。噴嘴速度係數受表面粗糙度的影響大於噴嘴前後壓比。噴嘴速度係數隨多變指數的增大而增大,隨馬赫數的增大而增大。

