名詞解釋
輸出調節問題(Output regulation problem)是從數學實際控制問題中得到的,例如飛行器的姿態跟蹤和擾動抑制、高速列車的振動抑制、惡劣天氣下的飛機的升降問題、機器人的操作控制等。
控制理論中的一個基本問題是,在系統受到外部干擾時,如何設計反饋控制器在確保閉環系統穩定的前提下,實現系統的輸出漸近跟蹤一個參考輸入信號。當擾動信號和參考輸入信號由一個自治微分方程產生時,這類問題稱為輸出調節問題,又稱作伺服控制問題。問題中的自治微分方程被稱為外系統,其產生的信號被稱為外信號。
輸出調節問題可以用來描述很多控制問題。比如,在定點控制問題中,常值參考輸入信號可以由一個右邊為零的微分方程產生。每一個具體的參考輸入信號由該微分方程的零初始狀態決定。這樣我們就將定點控制問題描述為輸出調節問題。同樣,在控制同步問題中,如果將自治的“主系統”看作是輸出調節問題中的外系統,將“從系統”看作被控對象,則控制同步問題就可以描述為輸出調節問題。
發展概況
輸出調節問題最早可以追溯到十八世紀的第一次工業革命,1769 年,James Watt 發明了自動調節蒸汽機轉速的調速器,使蒸汽機在遇到變負荷時,自動調速。調速器的設計其實就是輸出調節思想的套用。然而,直到兩個世紀之後,輸出調節問題才得到控制界的廣泛關注,並成為現代控制理論和套用提高的驅動力。
內模原理的產生使得線性系統的輸出調節的完美解決,輸出調節問題開始從線性輸出調節問題向非線性輸出調節問題發展。特別是二十世紀九十年代初,Isidori和Byrnes提出了調節器方程可解是非線性輸出調節問題可解的充分條件,這一奠基性的結果使得輸出調節問題在近二十年里成為控制領域研究中的熱點問題,引起了眾多學者對非線性輸出調節問題的研究。
然而,由於非線性系統的複雜性,關於不確定非線性系統的輸出調節問題無論在理論上還是在套用上還處於起步階段。特別是當某類受控系統中的的狀態具有未知不確定函式、時滯,或者系統狀態不可測量,或者非線性函式不滿足匹配條件時,或外部系統為非線性時,有許多問題都值得研究。
輸出調節理論
線性輸出調節
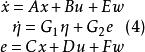
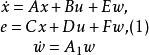
輸出調節為了簡便,假設測量輸出 ,考慮線性系統
輸出調節
輸出調節假設1: 的所有特徵值都有非負實部。
輸出調節假設2:矩陣對 是可鎮定的。
輸出調節假設3: 矩陣對 是可檢測的。
輸出調節
輸出調節
輸出調節
輸出調節假設4:對任意 和 ,存在矩陣 和 ,使得
輸出調節方程(2)被稱為線性調節器方程,如果滿足
輸出調節
輸出調節
輸出調節其中, 是 的譜,則方程有唯一一個解。
輸出調節線性魯棒輸出調節問題可以通過內模解決,即在反饋設計中加入一個能夠重構 的適當模型,該模型就是內模。
輸出調節
輸出調節
輸出調節定義1:矩陣對 ,其中 為 的最小多項式的階,如果
輸出調節(1)矩陣對 可控;
輸出調節
輸出調節(2) 的最小多項式等於 的特徵多項式。
輸出調節
輸出調節則稱矩陣對 浸入到 的內模。
輸出調節
輸出調節讓 則稱矩陣對 或下列動態方程
輸出調節則系統(1)的內模。
內模(3)和系統(1)統稱為增廣系統,並記為
輸出調節定理1:在假設1-4下,增廣系統是可鎮定的和可檢測的。進而,如果控制器
輸出調節鎮定增廣系統,則稱控制器
輸出調節
輸出調節解決了魯棒輸出調節問題,並且閉環系統的系統矩陣是Hurwitz的,系統輸出滿足 。
非線性輸出調節
解決輸出調節問題的調節器可以分解為兩部分:一部分是內模,產生前饋項抵消穩態誤差,另一部分是鎮定器,用於鎮定整個閉環系統。線上性系統中,內模可以看作是對外系統結構信息的有效複製;而在非線性系統中,內模不僅需要對外系統結構信息進行有效複製,還需要產生外系統軌道的高階非線性諧波項。關於非線性系統的輸出調節問題的具體理論可以參見黃捷教授的《Nonlinear Output Regulation:Theory and Application》。
