簡介
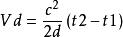
超音波風速計超音波風速表又稱“聲學風速表”。根據超音波在空氣中的傳播速度隨風速而改變的原理製成的測風儀器。常在相距d距離的兩點放置兩對聲脈衝發射機和接收機,聲波從發射機到接收機順風傳播時間t1較逆風傳播時間t2快,如果聲速為c,則聲脈衝發射機與接收機方向上的風速分量,即風速分量與聲波順風傳播和逆風傳播的時間差成正比。如果在相互垂直的三個坐標系方向上各放置兩對聲脈衝發射機與接收機。則可側出xyz方向上的三個風速分量。由於聲學測風量程寬、靈敏度高、回響速度快,所以廣泛用於大氣湍流研究中。
原理
聲波在實際大氣中的傳播速度為聲波在靜止大氣中的傳播速度與大氣中的氣流速度之和,因此,在一定距離內,聲波順風傳播與逆風傳播所需要的時間有一差別。測得這個時間差即可得到氣流的速度,即氣流速度的測量可以通過測量這一時間差來實現,這就是聲學風速表的基本原理。
注意事項
考慮到測量數據的準確性和代表性,使用超聲測風儀需要注意以下一些問題。
(1)為了提高測風儀器測量結果的區城代表性,考慮到地形和障礙物對風速測定影響,一般要求測風儀需安裝在開闊地、10m高處,即測風儀器與障礙物的距離必須至少10倍於障礙物高出測風儀器的高度。
(2)為了提高側風儀暴利量結果的時間代表性,對一段時間內測量的數值進行平均。
(3)為了使側風儀理測量結果具有比較性,必須使用統一規定型號的測試儀器。
(4)選擇測風儀器時必須考慮到側風儀器的機械構造特性和空氣動力學特性。機械構造方面的特性,指準確度、靈敏度、解析度、啟動風速、量程範圍等。空氣動力學特性,指阻尼比、時間常數、距離常量、慣性等。
優點
聲學測風儀器具有以下優點:沒有運動部件,不存在機械磨損;時間回響快;靈敏度高,檢測風速最小值可達每秒幾厘米,廣泛適用於大氣湍流等要素的精確測量;測量的結果屬於線性輸出,準確度較高;可以測量任意方向的風速,且在測風的同時還可以測量大氣的溫度。
