工作原理
1.接受系統控制器指令,根據室溫高低,自動調節一次風送風量。
2.當室內負荷增大時,能自動維持房間送風量不超過設計最大送風量;當房間空調負荷減少時,能保持最小送風量,以滿足最小新風量和氣流組織要求。
3.當服務的房間不使用時,可以完全關閉末端裝置的一次風風閥。
設計風速
對於公共建築的低速風道,ASHRAE推薦的設計風速如表1所列。
表1 ASHRAE推薦低速風道設計風速
| 推薦風速 | 最大風速 | |
| 主風道 | 5~6.5m/s | 5.5~8m/s |
| 支風道 | 3~4.5m/s | 4~6.5m/s |
| 支風道豎管 | 3~3.5m/s | 4~6m/s |
| 風量控制閥 | 4~6m/s |
VAV box 的風速測量
渦街風速計
(1)測量量程:0.3~25m/s,測量精度:±1.5%F.S.,測量誤差:±0.375m/s。
(2)工作原理:在流體中插入棒狀障礙物時,流體會繞過障礙物往下游流動。如果流速充分高,且障礙物有銳角邊緣,流體會脫離障礙物,在障礙物後邊或邊緣的後邊形成一個真空狀態的空間。為了填補這個空間,下游的流體被吸進來,形成一種逆流捲入現象。繞過障礙物往下游流動的流體和捲入的流體合流而形成渦流,渦流一邊旋轉一邊向下游移動。流體的持續流動會使得渦流繼續產生,並且接連不斷地往下游吹送。其渦流會在障礙物的兩側交替產生轉向相反的渦流,在障礙物的下游形成規則的渦列,這種渦列就是流體力學中的“卡門渦街 (Karman VortexStreets)”。
(3)卡門渦街的頻率與流體流量的關係:
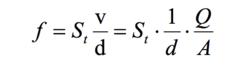
vav boxf = S× v/d =S× 1/d × Q/A
f-渦街的頻率 [1/s]
St-斯托哈爾數(雷諾數在某些範圍內的一定值)[-]
v-流體的平均流速 [m/s]
d-障礙物的特徵尺寸(梯形斷面障礙物正對流向的寬度)[m]
A-流路的斷面積 [m2]
Q-流體的流量 [m3/s]
上式在Re=3×102~2×105的廣泛的紊流域內成立。對於常溫常壓狀態,St≈0.2。
(4)超音波渦街風速計的優缺點:
超音波渦街風速計的特性之一是抗塵,這在空調風量測量中是非常重要的特性。超音波渦街風速計的特性之二是構造中沒有摩擦件,它使得超音波渦街風速計的設計壽命長達1×105小時以上。以每天工作24小時計算,可連續工作11年。日本規定的樓宇自控設備的法定使用年數(折舊年限)為10年,空調設備的法定使用年數為15年。超音波渦街風速計基本上做到了與空調系統同壽命。
超音波渦街風速計的缺點是相對於風道截面,風速計仍屬於點測量。
(5)超音波渦街風速計的抗塵原理:
由於空氣擾動,渦街發生器的銳角邊緣極不易積灰,因此卡門渦街的發生不受影響。超音波發生器和接收器本身均為振動體,也不易積灰。超音波的聲能具有除塵作用,它使得超音波發生器和接收器的護網也不易積灰。因此,影響風速測量的部位均不易積灰。
葉輪風速計
(1)測量量程: 1~8 m/s,測量精度: ± 1.25 %F.S.,測量誤差: ±0.1 m/s 。
(2)材質:外殼和葉輪採用ABS樹脂材料,軸採用不鏽鋼材料。
(3)優點:軸、軸承、磁感應器等包藏在樹脂包內,提高了耐蝕性,不受環境限制,可自由使用。
皮托管風速計
(1)皮托管的測量特性:
•非線性
•低風速段不敏感
•ΔP = 0.5 × K × ρ × v= (0.9 ~ 3) × 0.6 ×v
v: 風速 [m/s]
ΔP: 相當動壓 [Pa]
K: 增幅係數,K=0.9~3.0
(2)皮托管的測量誤差:
取K = 2,15 m/s風速時的輸出動壓為270 Pa。假定使用測量範圍為0~300 Pa,差壓感測器和皮托管的綜合測量精度為±3%F.S.,誤差值則為±9 Pa,折合成風速為±2.74 m/s。這也就是說,|2.74| m/s以下的風速信號完全沒有意義。因為這時的誤差值已經與測量值等量,根本無從判別差壓感測器輸出信號的真偽。
與日本的變風量末端控制箱所使用的風速計的絕對誤差≤ |0.4| m/s相比,皮托管風速計的誤差幾乎要大一個數量級。
FP - VAV
FP - VAV的利弊分析
不可用全新風,一次風循環量小。(FP:風機盤管)
日美對FP-VAV套用的比較
日本——幾乎不用,縮小分區,決不再熱,重視能耗,追求長期總效益。
美國——較多使用,擴大分區,多用再熱,重視便利,追求初投資的短期效益。
VAV系統設備安裝
變風量空氣處理機組安裝
變風量空氣處理機組包括:空氣處理機組AHU、新風機組PAU。可採用重心移位法進行空調機組AHU設備吊裝。
VAV box安裝
1)VAV box的吊架:動力型VAV box設定4個彈簧減震吊架。單風道型VAV box設定橡膠減震墊,吊架須避開VAV box控制器與VAV box風閥電機,並需不影響調試與檢測。
2)VAV box的進口:與螺旋圓形風管連線。連線方式採用承插式。
3)VAV box的出口:與靜壓箱連線。連線方式採用法蘭連線。
VAV系統調試
變風量基本單元由變風量空調處理設備、風道系統。變風量末端VAV box及自動控制系統組成。
變風量VAV系統單機調試包含:變風量空調機組、VAV變風量末端。
變風量VAV系統調試包含:VAV系統無負荷調試、VAV系統製冷及製冷工況調試。
現存問題
變風量(VAV)空調以節省能耗、智慧型化等優點在中國得到了越來越廣泛的套用,但目前,VAV系統並沒有達到預期的效果,在實際運行中出現了冷熱不均的問題。

