簡介
赭麴黴毒素赭麴黴毒素A是一種無色結晶化合物。可溶於極性有機溶劑和稀碳酸氫鈉溶液。微溶於水。其苯溶劑化物熔點94~96℃,二甲苯中結晶熔點169℃。有光學活性[α]D-118°。其紫外吸收光譜隨pH值和溶劑極性不同而有別,在乙醇溶液中最大吸收波長為213nm和332nm。有很高的化學穩定性和熱穩定性。赭麴黴毒素A是由多種生長在糧食(小麥、玉米、大麥、燕麥、黑麥、大米和黍類等)、花生、蔬菜(豆類)等農作物上的麴黴和青黴產生的。動物攝入了霉變的飼料後,這種毒素也可能出現在豬和母雞等的肉中。赭麴黴毒素主要侵害動物肝臟與腎臟。這種毒素主要是引起腎臟損傷,大量的毒素也可能引起動物的腸黏膜炎症和壞死。還在動物試驗中觀察到它的致畸作用。
Hamilton等(1982)首次報導了大規模的火雞赭麴黴毒素中毒症,此後在美國、加拿大及歐洲各國的家禽和豬場也有報導。赭麴黴毒素(ochratoxins)是由多種麴黴和青黴菌產生的一類化合物,依其發現順序分別稱為赭麴黴毒素A(OTA)、赭麴黴毒素B(OTB)和赭麴黴毒素C(OTC)。
歷史
70年代前期,一直認為鮮綠青黴(Penicilliumviridicatum)是赭麴黴毒素A的主要產毒青黴菌;70年代後,Natori等(1970)和Pitt(1987)等研究表明,大多數疣孢青黴菌株(P.verrucosum)都可產生OTA;少數產紫青黴菌(P.purpurescens)和圓弧青黴菌株(P.cyclopium)也能產生OTA;而鮮綠青黴菌既不產生OTA,也不產生橘青黴素(citrinin)。對赭麴黴毒素的主要產毒青黴菌認識上存在的分歧,可能是由於研究者採用的真菌分類方法不同造成的。
Northolt等(1979)的研究表明,赭麴黴(圖赭麴黴菌)、圓弧青黴和鮮綠青黴菌產生OTA的最低水分活力(minimumwateractivity)分別為0.83~0.87、0.87~0.9和0.83~0.86;最適產毒溫度分別為12~37℃、4~31℃和4~31℃。因此,OTA的產生菌在濕熱的南方一般以赭麴黴菌為主,侵害水分大於16%的糧食和飼料;而寒冷於燥的北方以青黴菌為主,有些青黴菌在0℃左右仍能生長,給飼料貯藏帶來極大困難。此外,不同菌株的適宜產毒底物也有差別,Madhyastha等(1990)報導,赭麴黴在花生餅和大豆餅中的產毒量,顯著高於在小麥和玉米中的產毒量,而疣孢青黴則相反。
正常條件下,小麥和玉米受OTA污染的機率較小,約1%~5%,其含量為0.01~5mg/kg;大麥和燕麥被污染的機率較高,約為10%,其含量一般在0.1mg/kg以下,個別樣品高達27mg/kg;據Zust等(1989)和Egmond(1994)報導,配合飼料約有5%~10%被污染,OTA含量0.05~0.4mg/kg。魏潤蘊等(1981)和牛鐘相等(1989)在糧食和飼料中也檢測出了OTA。另外,從王海彬等(1996)和王景琳等(1994)的調查結果,中國飼料麴黴菌和青黴菌的檢出率也很高。
性質
理化性質
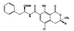
OTA最早是由VanderMerwe等(1965)從赭麴黴菌(Aspergillusochraccus)(據Marquardt和Frohlich,1992,報導該菌現在稱為A.alutaceus)培養物中提純得到的。魏潤蘊等(1981)和孫惠蘭等(1989)也分別從糧食和配合飼料中提出OTA純品。分析表明OTA由7-羧-5-氯-8-羥-3,4-二氫-R-甲基異香豆素(簡稱Oa下同)和L-β-苯丙氨酸通過肽鍵連線而成(見圖赭麴黴毒素A的化學結構),分子式:C20H18CINO6,分子量403。
OTB是OTA的脫氯衍生物,OTC是OTA的乙基酯。OTA為無色晶體,溶於有機溶劑(氯仿和甲醇)和稀碳酸氫鈉溶液,微溶於水。在紫外線照射下OTA和OTB分別呈綠色和藍色螢光,最大吸收峰分別為333nm和318nm。
毒性毒理
赭麴黴毒素A對動物和人類的毒性主要有腎臟毒、肝毒、致畸、致癌、致突變和免疫抑制作用。赭麴黴毒素A進入體內後在肝微粒體混合功能氧化酶的作用下,轉化為4一羥基赭麴黴毒素A和8一羥甚赭曲霍毒素A,其中以4一羥基赭麴黴毒素A為主
。
赭麴黴毒素的毒性強弱順序是:OTA>OTC>OTB。這在很大程度上取決於分子中第八位羥基的電離常數大小。OTB和OTC在被污染飼料中的含量一般較低,對大多數動物的毒性較OTA小。因此,飼料檢測時可以不考慮,主要分析OTA含量。近來Creppy等(1983)和Hadidane等(1992)用色氨酸、纈氨酸、賴氨酸等胺基酸取代OTA分子中的苯丙氨酸,獲得了一系列OTA類似物,其中酪氨酸、纈氨酸、蘇氨酸和丙氨酸取代類似物的毒性最強,蛋氨酸、色氨酸和谷氨酸取代類似物次之,谷醯胺和脯氨酸取代類似物的毒性最低。Hadidane等(1991)報導,自然界也存在OTA的蘇氨酸、羥脯氨酸和賴氨酸取代類似物。
Marquardt等(1992)調查表明,飼料中OTA含量在0.3~16mg/kg時可引起畜禽中毒,使死亡率上升2%~58%。Madsen等(1982)報導,連續飼餵含OTA200μg/kg的飼料4個月,對豬的影響不大,而當OTA含量大於1400μg/kg時,顯著降低豬的採食量和生長速度,飲水量增加。Huff等(1974)報導,連續飼餵含0.5~1.0mg/kgOTA的飼料3周,對肉仔雞的增重無影響,而含0.5mg/kgOTA的飼料連續飼餵6周,可降低蛋雞的產蛋性能和飼料轉化率。
Dwivedi和Burns(1985)報導,OTA可引起畜禽免疫器官變化,使多種動物胸腺、法氏囊、脾臟和淋巴結中的白細胞數量降低,巨噬細胞和單核細胞的遷移能力下降。從Lee等(1989)的資料看,似乎還可以抑制細胞免疫(T細胞和B細胞)的活性。
Appelgren和Arora(1983),Kovasf和Vanyl(1994)報導,OTA可以透過胎盤對胎兒具有致畸作用,但豬對其不太敏感。對OTA致癌作用的研究目前尚停留在試驗動物階段,未見有關畜禽方面的報導。Krogh(1991)報導,血液總蛋白、白蛋白和球蛋白含量,以及腎臟磷酸烯醇式丙酮酸羧激酶(PEPCK)活性都可作為OTA中毒的敏感指標。
對OTA的中毒機理研究得較多,Endou等(1984)報導,OTA可抑制腎臟近曲小管上皮細胞的陰離子運輸系統,使尿中丙氨酸氨基肽酶(alanineaminopeptidase)和亮氨酸氨基肽酶(1euineaminopeptidase)濃度升高。Meisner等(1983,1986)先後證明,OTA可抑制腎臟PEPCK的活性,進而抑制腎臟葡萄糖生成,然而對OTA的抑制方式尚無定論。Creppy等(1983)報導,OTA還是苯丙氨酸-tRNA合成酶的競爭性抑制劑,該酶對OTA的親和力大於苯丙氨酸,因而可抑制細胞內蛋白質的合成。
作用機理
赭麴黴毒素赭麴黴毒素是由赭麴黴(Aspergillusochraceus)和純綠青黴(Penicilliumviridicatum)產
生的一種黴菌腎毒素,可分為A和B兩種類型,A的毒性較大。赭麴黴毒素在4℃的低溫下赭麴黴即可產生具有毒害作用濃度的赭麴黴毒素。動物攝入1ppm體重劑量的赭麴黴毒素A可在5~6天致死。常見的病變是腎小管上皮損傷和腸道淋巴腺體壞死。飼餵含1ppm濃度赭麴黴毒素的日糧3個月可引起動物煩渴、尿頻、生長遲緩和飼料利用率降低;飼餵含量低至200ppb的日糧數周可檢測到腎損傷。其他的臨床症狀還有腹瀉、厭食和脫水。有時臨床症狀不明顯,而在赭麴黴毒素中毒呈地方流行病的地區,動物在屠宰時惟一可觀察到的病變是腎蒼白、堅硬。
病變機理
①、赭麴黴毒素A阻斷胺基酸tRNA合成酶的作用而影響蛋白質合成,使得IgA、IgG和IgM減少,抗體效價降低。
②、損傷禽類法氏囊和畜禽腸道淋巴組織,降低抗體的產量,影響體液免疫,這和赭麴黴毒素的致癌作用有關。
③、引起粒細胞吞噬能力降低,從而影響吞噬作用和細胞免疫。
④、赭麴黴毒素A能通過胎盤影響胎兒組織器官的發育和成熟。
臨床症狀
OTA主要毒害動物的腎臟和肝臟,腎臟是第一靶器官,只有劑量很大時才出現肝臟病變。其中豬和禽類的敏感性最強。OTA的急性中毒反應為精神沉鬱,食慾減退,體重下降,肛溫升高。消化功能紊亂,腸炎可視黏膜出血,甚至腹瀉,脫水多尿,伴隨蛋白尿和糖尿。妊娠母畜子宮黏膜出血,往往發生流產。
中毒後的病理變化以腎臟為主,可見腎臟肥大,呈灰白色,表面凹凸不平,有小泡,腎實質壞死,腎皮質間隙細胞纖維化;近曲小管功能退化,腎小管通透性變差,濃縮能力下降。雞血漿總蛋白、白蛋白和球蛋白含量下降。OTA的慢性中毒還表現為凝血時間延長,骨骼完整性差,腸道脆弱及腎臟受損等。
殘留
OTA在單胃動物體組織內、及相應的畜產品內有殘留。食物中的OTA與一種致命的地方性腎臟疾病(balkanendemicnephropathy)有關,且有致癌、致畸作用,近年來引起了人類營養學家的重視。其中雞和豬血液、肝臟、腎臟、肌肉和脂肪組織中均有OTA殘留(雞蛋中的殘留量很低)的報導,以血液中的殘留濃度最高,腎臟、肝臟、肌肉和脂肪組織次之。研究表明,組織中OTA殘留量與其在飼料中的含量有明顯的相關關係。而Egmond(1994)在反芻動物組織及其乳中未檢測到OTA。
對食品的污染
產生赭麴黴毒素A的黴菌廣泛分布於自然界,導致赭麴黴毒素A廣泛分布於各種食品和飼料中。在寒帶和溫帶地區如歐洲和北美洲,赭麴黴毒素A主要來源於青黴屬的疣孢青黴;在熱帶地區,該毒素主要來源於赭麴黴。近年來發現,水果及果汁中的赭麴黴毒素A主要由碳黑瞌霉和黑麴黴產生。動物食用了含有赭麴黴毒素A的飼料,在其內臟、組織及血液中含有大量的赭麴黴毒素A
防制
發現動物中毒後,首先要停止飼餵霉變飼料,並更換易消化且富含維生素的飼料。對病情嚴重的動物要對症治療,防止脫水和保護肝臟。Creppy等(1980)報導,注射苯丙氨酸對OTA急性中毒症有療效。
在水分含量高的(18%~24%)飼料中,添加由揮發性脂肪酸組成的防霉劑有一定的防霉效果。
OTA對熱極其穩定,通過加熱脫毒的效果較差。Deberghes等(1995)報導,0.5%膽胺(cholestyramine)、γ射線和紫外線照射可以起到一定的脫毒效果。
OTA與OTB在羧基肽酶A和糜蛋白酶的催化下,可水解成苯丙氨酸和毒性較小的Oa,其中OTB的酶解速度是OTA的6~7倍,瘤胃微生物有很強的類似反應活性。De-berghes等(1995)在赭麴黴菌培養液中加入5單位的羧基肽酶,培養18天,與對照組相比,OTA產量由73.6ng/ml下降到零。由此推測,這將是有開發前途的OTA脫毒方法。
衛生標準
Hult等(1976)報導,瑞土規定豬和禽配合飼料中OTA的允許量分別不得超過200μg/kg和1000ug/kg。美國也正在制訂有關條例。其他國家尚未見有關OTA的允許量規定。國內GB 2761-2011規定穀物、豆類及其製品中OTA的允許量不得超過5μg/kg。
診斷
檢測豬
赭麴黴毒素A(OchratoxinA)是赭麴黴毒素(Ochratoxins)家族中最重要的毒素,由多種麴黴菌(赭麴黴)和青黴菌(疣孢青黴)產生,這些黴菌也產生桔黴素和草酸。赭麴黴毒素普遍存在於熱帶和氣候溫和的地區,常現於燕麥,大麥,小麥和玉米農作物上。這些黴菌具有產生高達10ppm赭麴黴毒素A的能力。這樣高水平的赭麴黴毒素是很少見的,即使毒素水平很低的情況下,如0.2ppm,就可對養豬生產造成危害性影響(Krogh,1991)。
單胃動物採食被赭麴黴毒素污染的飼料可導致其組織器官,脂肪,肌肉組織和血液被毒素污染。如果豬長時間地採食赭麴黴毒素污染的飼料,黴菌毒素可污染豬的大部分可食組織,導致腎臟損傷和豬肉胴體等級降低。赭麴黴毒素急性中毒症(日糧毒素水平高於5ppm)的特點是腎病(腎功能衰竭),腸炎脂肪肝,淋巴結壞死,免疫抑制,並伴隨著其他多種病理症狀。由於急性腎衰竭,急性的赭麴黴毒素中毒症有可能導致動物死亡。鑒於赭麴黴毒素可在動物可食肌肉組織中積累,進而導致人類健康問題的特性,研究人員近期將研究重點關注於赭麴黴毒素的致癌性方面。事實上,丹麥養豬業以腎臟赭麴黴毒素水平作為判定豬肉產品是否存在潛在的毒素危害殘留的指標。臨床症狀和剖檢可顯示赭麴黴毒素中毒症,這還可通過監測飼料中的黴菌毒素或在屠宰場檢測腎臟中的毒素水平確認赭麴黴毒素的中毒症。
由於赭麴黴毒素在血清中的半衰期相當長(72-120小時),豬只對赭麴黴毒素的污染十分敏感。研究人員近期在加拿大和歐盟,包括德國,挪威,波蘭,瑞典以及前南斯拉夫對豬血液中的天然污染物赭麴黴毒素進行了檢測調查。同時,在美國、奧地利、比利時、丹麥、芬蘭、德國、波蘭、瑞士、英國和前南斯拉夫的調查結果顯示,赭麴黴毒素也出現在豬的腎臟中。
殘留在動物產品中的赭麴黴毒素可通過食品鏈傳遞給消費者,一些國家的政府已採取強硬的監管措施,以消除消費者對豬肉產品安全性的擔憂。例如,歐洲於1997年設立了所有食品中赭麴黴毒素的最高允許含量為5ppb。德國將這一標準更嚴格地定為3ppb。在丹麥,如果豬血液赭麴黴毒素的水平達到25μg/mL,認定為豬的整個胴體被污染,豬肉不得作為食用。
臨床影響
赭麴黴毒素中毒症的主要症狀為:生長遲緩,飼料效率降低。肝臟受損,但主要是對腎臟的影響,導致腎間質纖維化。飲水量增加(劇渴),導致排尿增多(多尿症),這是赭麴黴毒素中毒症的一大特點。幼齡生長豬會出現腎周水腫,並伴有僵硬。胃潰瘍也是常見的症狀。公豬的精子質量降低,受精率下降,最終導致整體繁殖性能下降。
中毒者的臨床表現
生產性能下降(飼料採食量,生長速度,飼料效率)
腎臟蒼白、變大=腎小管變性,腎間質纖維化
腎功能受損=高蛋白血症,氮血症
腎衰竭=死亡
飲水量增加(劇渴),排尿增多(多尿症)
細胞免疫抑制=對感染的易感性大大增加
公豬精子質量降低=受精率下降=繁殖性能降低
仔豬出現水腫=弓背僵直,步調失調
胃潰瘍
穀物測定
1主題內容與適用範圍
本標準規定了穀物和大豆中赭麴黴毒素A的薄層色譜測定方法。
本標準適用於小麥、玉米和大豆中赭麴黴毒素A的測定。
在薄層板上赭麴黴毒素A的最低檢出量為4ng。該方法的最低檢測量為10μg/kg。
2原理
用三氯甲烷-0.1mol/L磷酸或石油醚-甲醇/水提取樣品中的赭麴黴毒素A,樣品提取液經液-液分配後,根據其在365nm紫外光燈下產生黃綠色螢光,在薄層色譜板上與標準比較測定含量。
3試劑
以下試劑除特殊規定外均為分析純試劑,水為蒸餾水或同等純度的水。
⒊1石油醚(60~90℃或30~60℃)。
⒊2甲醇。
⒊3三氯甲烷。
⒊4甲苯。
⒊5乙酸乙酯。
⒊6甲酸。
⒊7冰乙酸。
⒊8乙醚。
⒊9苯-乙腈(98:2)。
⒊100.1mol/L磷酸[c(H3PO4)=0.1mol/L]:稱取11.5g磷酸(85%)加水稀釋至1000mL。
⒊112mol/L鹽酸溶液[c(HCL)=2mol/L]:量取20mL鹽酸,加水稀釋至120mL。
⒊124%氯化鈉溶液。
⒊130.1mol/L碳酸氫鈉溶液[c(NaHCO3)=0.1mol/L]:稱取8.4g碳酸氫鈉,加適量水溶解,並用水稀釋至1000mL。
⒊14矽膠G:薄層層析用。
⒊15赭麴黴毒素A(以下簡稱OA)標準溶液:用苯-冰乙酸(99:1)配成40μg/mL赭麴黴毒素A貯備液,並用紫外分光光度計測定其濃度。濃度的測定參照GB5009.22《食品中黃麴黴毒素B1的測定方法》中2.14條(赭麴黴毒素A的最大吸收峰波長333nm,分子量403,克分子消光係數值為5550)。精密吸取貯備液,用苯稀釋成每毫升含赭麴黴毒素A0.5μg,赭麴黴毒素A標準液應置冰櫃中避光保存。
4儀器
所有玻璃儀器均需用稀鹽酸浸泡,用自來水,蒸餾水沖洗。
⒋1小型粉碎機。
⒋2電動振盪器。
⒋3玻璃板:5cm×20cm。
⒋4薄層塗布器。
⒋5展開槽:內長25cm、寬6cm、高4cm。
⒋6紫外光燈:365nm。
⒋7微量注射器:10μL、50μL。
⒋8具0.2mL尾管的10mL,小濃縮瓶。
5分析步驟
⒌1提取
⒌1.1甲法
稱取20g粉碎並通過20目篩的樣品,置於200mL具塞錐形瓶中,加入100mL三氯甲烷和10mL0.1mol/L磷酸,振盪30min後通過快速定性濾紙過濾;取20ml,濾液置於250mL分液漏斗中,加50mL0.1mol/L碳酸氫鈉溶液振搖2min,靜置分層後,將三氯甲烷層放入另一個100mL分液漏斗中(少量乳化層,或即使三氯甲烷層全部乳化都可放入分液漏斗中),加入50mL0.1mol/L碳酸氫鈉溶液重複提取三氯甲烷層,靜置分層後棄去三氯甲烷層(如三氯甲烷層仍乳化,棄去,不影響結果)。碳酸氫鈉水層併入第一個分液漏斗中,加約5.5mL2mol/L鹽酸溶液調節pH2~3(用pH試紙測試),加入25mL三氯甲烷振搖2min,靜置分層後,放三氯甲烷層於另一盛有100mL水的250mL分液漏斗中,酸水層再用10mL三氯甲烷振搖、提取、靜置,將三氯甲烷層併入同一分液漏斗中。振搖、靜置分層,用脫脂棉擦乾分液漏斗下端,放三氯甲烷層於一75ml蒸發皿中,將蒸發皿置蒸汽浴上通風揮乾。用約8mL三氯甲烷分次將蒸發皿中的殘渣溶解,轉入具尾管的10mL濃縮瓶中,置80℃水浴鍋上用蒸汽加熱吹氮氣(N2),濃縮至乾,加入0.2mL苯-乙腈(98:2)溶解殘渣,搖勻,供薄層色譜點樣用。
⒌1.2乙法
稱取20g粉碎並通過20目篩的樣品加於200mL具塞錐形瓶中,加30mL石油醚和100mL甲醇-水(55:45),在瓶塞上抹上一層水蓋嚴防漏。振盪30min後,通過快速定性濾紙濾入分液漏斗中,待下層甲醇水層分清後,取出20mL濾液置於100mL分液漏斗中,用pH試紙測試,一般為pH5~6。加入25mL三氯甲烷振搖2min,靜置分層後放出三氯甲烷層於另一分液漏斗中,再用10mL三氯甲烷重複振搖提取甲醇-水層(在用三氯甲烷振搖提取時,如發生乳化現象,可滴加甲醇促使其分層),將三氯甲烷層合併於同一分液漏斗中,加入50~100mL4%氯化鈉溶液(加入量視品種不同而異,大豆加100mL,小麥、玉米則加50mL左右),振搖放置(如為大豆樣品提取液還須輕輕反覆倒轉分液漏斗,使乳化層逐漸上升。如乳化嚴重可加入少許甲醇),待三氯甲烷層澄清後,用脫脂棉擦乾分液漏斗下端,放三氯甲烷層於75mL蒸發皿中(如為大豆樣品須再加入10mL三氯甲烷振搖,三氯甲烷層合併於同一蒸發皿中),將蒸發皿置蒸汽浴上通風揮乾。
以下操作自“用約8mL三氯甲烷分次將蒸發皿中的殘渣溶解”起,按甲法操作。
⒌2測定
⒌2.1薄層板的製備
稱取4g矽膠G,加約10mL水於乳缽中研磨至糊狀。立即倒入塗布器內製成5cm×20cm,厚度0.3mm的薄層板三塊,在空氣中乾燥後,在105~110℃活化1h,取出放乾燥器中保存。
⒌2.2點樣取兩塊薄層板,在距薄層板下端2.5cm的基線上用微量注射器滴加兩個點:在距板左邊緣1.7cm處滴加OA標準溶液8μL(濃度0.5μg/mL),在距板左邊緣2.5cm處滴加樣液25μL,然後在第二塊板的樣液點上加滴OA標準溶液8μL(濃度0.5μg/mL)。點樣時,需邊滴加邊用電吹風吹乾,交替使用冷熱風。
⒌2.3展開
⒌2.3.1展開劑
橫展劑:乙醚或乙醚-甲醇-水(94:5:1)。
縱展劑:
a.甲苯-乙酸乙酯-甲酸-水(6:3:1.2:0.06)或甲苯-乙酸乙酯-甲酸(6:3:1.4);b.苯-冰乙酸(9:1)。
⒌2.3.2展開
橫向展開:在展開槽內倒入10mL橫展劑,先將薄層板縱展至離原點2~3cm,取出通風揮發溶劑1~2min後,再將該薄層板靠標準點的長邊置於同一展開槽內的溶劑中橫展,如橫展劑不夠,可添加適量,展至板端過1min,取出通風揮發溶劑2~3min。
縱向展開:在另一展開槽內倒入10mL縱展劑,將經橫展後的薄層板縱展至前沿距原點13~15cm。取出通風揮乾至板面無酸味(約5~10min)。
⒌2.4觀察與評定
將薄層色譜板置365nm波長紫外光燈下觀察。
a.在紫外光燈下將兩板相互比較,若第二塊板的樣液點在OA標準點的相應處出現最低檢出量,而在第一板相同位置上未出現螢光點,則樣品中的OA含量在本測定方法的最低檢測量10μg/kg以下。
b.如果第一板樣液點在與第二板樣液點相同位置上出現螢光點則看第二板樣液的螢光點是否與滴加的標準螢光點重疊,再進行以下的定量與確證試驗。
⒌2.5稀釋定量
比較樣液中OA與標準OA點的螢光強度,估計稀釋倍數。
薄層板經雙向展開後,當陽性樣品中OA含量高時,OA的螢光點會被橫向拉長,使點變扁,或分成兩個黃綠色螢光點。這是因為在橫展過程中原點上OA的量超過了矽膠的吸附能力,原點上的雜質和殘留溶劑在橫展中將OA點橫向拉長了,這時可根據OA黃綠色螢光的總強度與標準螢光強度比較,估計需減少的滴加微升數或所需稀釋倍數。經稀釋後測定含量時,可在樣液點的左邊基線上滴加二個標準點,OA的量可為4ng、8ng,比較樣液與兩個標準OA螢光點的螢光強度,概略定量。
⒌2.6確證試驗
用碳酸氫鈉乙醇溶液(在100mL水中溶解6.0g碳酸氫鈉,加20mL乙醇)噴灑色譜板,在室溫下乾燥,於長波紫外光燈下觀察,這時OA螢光點應由黃綠色變為藍色,而且螢光強度有所增加,再估計樣品中OA,如果與噴灑前情況不一致,要利用噴灑前所做的估計。
6計算
樣品中赭麴黴毒素A的含量可按下式計算。
V11000
x=A×━━×D×━━━
V2m
式中x──樣品中赭麴黴毒素A的含量,μg/kg;
A─-薄層板上測得樣液點上OA的量,μg;
D──樣液的總稀釋倍數;
V1─-苯-乙腈混合液的體積,mL;
V2──出現最低螢光點時滴加樣液的體積,mL;
m─-苯-乙腈溶解時相當樣品的質量,g。
7精密度
該方法經五個協作者驗證,在OA加入量分別為10,50,100μg/kg水平、每個水平n=2時,方法的回收率用X表示、精密度用SD表示:
小麥分別為93±10.23;92±14.72;105±38.85。玉米分別為88±9.68;88±9.68;103±41.2。[上述數據為(X±SD)%]

