名稱
費用現值(Present Value Cost,簡記為PVC)
費用現值特點
(1)不考慮投資方案的收益;
(2)僅考慮投資、經營成本或殘值的現值;
(3)在方案壽命期相同時,運用費用現值法進行兩方案的經濟比較,非常方便,但在方案壽命期不同時則很麻煩;
(4)運用費用現值法有一定的局限性。
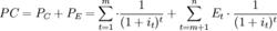
計算公式
費用現值的計算公式PC——費用現值總和。

費用現值是指用淨現值指標評價投資方案的經濟效果,要求用貨幣單位計算項目的收益,如銷售收入額、成本節約額等等。但是有些項目的收益難以用貨幣直接計算,如安全保障、環境保護、勞動條件改善等等。對於這類項目,若各備選方案能夠滿足相同的需要,則只需比較它們的投資與經營費用。
費用現值(Present Value Cost,簡記為PVC)
(1)不考慮投資方案的收益;
(2)僅考慮投資、經營成本或殘值的現值;
(3)在方案壽命期相同時,運用費用現值法進行兩方案的經濟比較,非常方便,但在方案壽命期不同時則很麻煩;
(4)運用費用現值法有一定的局限性。
費用現值的計算公式PC——費用現值總和。
費用現值(Presen (4)運用費用現值法有一定的局限性。 PC——費用現值總和。
什麼是費用現值 費用現值的特點 費用現值的計算公式差額費用現值,經濟學術語,是指被比較的兩個方案費用現金流量差額的現值之和。
簡介 相關連結現值計量是指資產按照預計從其持續使用和最終處置中所產生的未來淨現金流入量的折現金額計量。
目的 方法 影響因素 套用 屬性的套用眾所周知,相同的貨幣在不同時點的價值是不同的,現在的1元錢的價值會大於未來1元錢的價值。這種未來價值與現在價值之間的差異就是貨幣的時間價值。現值會計就是...
現值會計概述 現值會計的運用 對現值會計的評價現值(Present Value) 法是西方長期投資決策的流行方法,即可以用它來評判一個項目可行與否,又可以用它在兩個以上可行方案中評判出較優者。把對比...
淨現值法 淨現值指數法 現值成本法現值分析法是把將來不同時期的現金流量換算成為現值,據以進行方案的評價和比較。
現值分析法概述 現值分析法的基本原理 現值分析法的基本公式 現值分析法的分類現值分析法就是把將來不同時期的現金流量換算成為現值,據以進行方案的評價和比較。 現值分析法的基本公式: 現值分析法又可以分為比較成本現值和比較淨現值兩種。
編輯本段現值分析法的基本原理 編輯本段現值分析法的基本公式 編輯本段現值分析法的分類棄置費用也叫棄置成本,或資產棄置義務(ARO, asset retirement obligation), 通常是指根據國家法律和行政法規、國際公約等規...
定義 會計處理 稅收差異 區別 影響