貨叉的分類
根據貨叉與叉架的聯結方式可分為鉸接與剛接兩種貨叉(如下圖所示)。
貨叉與叉架的聯結方式鉸接貨叉的尾部帶有圓孔,套在叉架的水平軸上,貨叉可以繞水平軸向上轉動。這樣可避免叉車後退時貨叉被地面上凸起的障礙物頂住。鉸接貨叉易於調整間距。通常用於起重量較大和經常在不平場地作業的叉車。
剛接貨叉的尾部帶有方形鉤槽,鉤在叉架的橫樑上。定位銷1插入叉架橫樑孔中起定位作用,用擋塊2防止貨叉脫落。通常用於起重量較小和經常在平坦場地作業的叉車 。
貨叉的計算簡圖
計算貨叉時,必須首先把一個實際的貨叉加以簡化,使它變為一個供力學計算的簡單圖形(或稱力學模型),這個簡化後供計算用的圖形,叫做計算簡圖。合理的計算簡圖應該儘量接近實物的實際工作情況,並且儘可能使計算工作簡便。
根據貨叉與叉架的不同聯結形式,在計算簡圖中,對支座有兩種不同的假定。
第一種假定:把鉸接式的整體貨叉簡化為由兩個簡單鉸支座支承的靜定剛架,如下圖(a)。剛接式貨叉則被簡化為由一個固定支座和一個鉸支座支承的一次超靜定剛架,如下圖(b)。
貨叉計算簡圖第二種假定,不論貨叉與叉架的聯結形式如何.都把貨叉簡化為由兩個簡單鉸支座支承的靜定剛架。
按照靜定剛架和一次超靜定剛架對貨叉進行強度和剛度計算的結果表明,貨叉危險截面上的內力,其大小與貨叉的支座形式無關。貨叉水平段的變形,按兩種不同的支座假定計算,其結果相差很小。按靜定剛架計算時,變形值稍大,偏於安全。為了使計算簡化,便於實用,把貨叉計算簡圖簡化為靜定剛架是合適的。
整體式貨叉垂直段支座的假定,同樣適用於摺疊式貨叉 。
貨叉的強度計算
貨叉通常採用中碳鋼、彈簧鋼、低合金鋼以及高強度合金鋼等材料製造,其屈服極限不低於360Mpa。
貨叉強度計算:
參看下圖,貨叉強度按下式計算:
計算簡圖
貨叉
貨叉
貨叉
貨叉
貨叉
貨叉
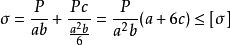
貨叉式中,——計算載荷,;動載荷係數(電瓶叉車),(內燃叉車);偏載係數;為叉車起重量;
貨叉
貨叉及——矩形斷面貨叉的厚度及寬度;
貨叉
貨叉
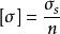
貨叉——貨叉材料的許用應力,,安全係數。
貨叉的剛度計算
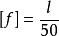
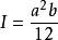
貨叉剛度(叉尖撓度)按下式計算:
貨叉
貨叉
貨叉式中,——計算載荷,;
貨叉
貨叉——貨叉斷面慣性矩,;
貨叉——貨叉支承影響係數;
貨叉
貨叉——叉尖允許撓度,。
貨叉的套用
貨叉廣泛套用於倉儲、造紙、包裝、印刷、菸草、家電、酒和飲料、毛棉紡織、港口碼頭,鐵路、汽車製造、鋼鐵冶煉、化工和建築等行業。除普通掛鈎型貨叉外,還可提供動荷貨叉、防爆貨叉、罩形叉架、摺疊型貨叉、套筒型貨叉、貨叉加長器、鼓筒型貨叉、木質用貨叉、方型貨叉、仿形貨叉等特殊貨叉。

