概述
增長鏈端基為負離子的離子型聚合反應。含有吸電子基團的烯類單體(如丙烯腈、丙烯酸酯),有共軛體系的苯乙烯、丁二烯單體,含有羰基的單體(如甲醛),以及某些含氧、氮、矽等的環狀單體(如環氧乙烷、己內醯胺、環八甲基矽氧烷)都能在一定的條件下被鹼性試劑引發,進行負離子聚合。如果負離子聚合體系中存在微量水分、二氧化碳及含有活潑氫的物質時,這些物質能與活性中心(負碳或負氧離子)作用而破壞聚合反應,給工業生產增加不少困難,因而負離子聚合的套用受到一定的限制。德國很早就用金屬鈉催化丁二烯聚合成丁鈉橡膠,但這個工業方法有溫度不易控制、反應速率低、產物不均勻等缺點。在發現有機鋰、萘鈉等引發體系後,負離子聚合在工業製備和套用上有所擴展。用負離子聚合方法合成的低順丁膠(約含35%順式1,4-結構的聚丁二烯)、溶液丁苯膠(丁二烯和苯乙烯在烴類溶液中共聚)、丁苯嵌段共聚物-熱塑膠、中乙烯基型聚丁二烯橡膠、高順聚異戊二烯橡膠等都已先後生產,總產量達數十萬噸。
通常,負離子聚合用本體聚合或烴類、醚類溶劑的溶液聚合方法。所用的引發劑是親核試劑,如鹼金屬及其烷基化物、氨基化物、烷氧基化物、氫氧化物,鹼金屬的液氨溶液,以及某些電子轉移絡合物,如萘鈉、聯苯鈉等。
不同引發劑引發的負離子聚合反應歷程
烷基金屬化合物,用得最多的是丁基鋰和三苯基甲基鈉。丁基鋰引發烯類單體的負離子聚合反應為: 
或—C6H5。上述反應是引發過程,得到的是離子對。然後再進行鏈增長: 

電子轉移劑
古老的丁鈉橡膠就是將金屬鈉分散在烴中使丁二烯聚合而成的。很可能是鈉原子直接轉移一個電子給單體分子形成自由基負離子,然後偶合成雙負離子再進行增長:

Li+2NH3─→Li+(NH3)+e(NH3)
其氨液呈深藍色。然後該電子轉移給單體,生成自由基負離子:
萘鈉、苯鈉等芳族自由基負離子絡合物 1956年M.施瓦茨等研究了在不提供質子的溶劑中,用這種芳族自由基負離子絡合物作為負離子聚合的引發劑,例如苯乙烯在四氫呋喃中於0°C以下用萘鈉引發時的反應:


在體系純淨時,溶劑分子不含有活潑的氫,所以沒有鏈轉移和鏈終止反應,鏈增長反應一直進行到全部單體耗盡為止,得到的是端基為負離子的活的高分子。 負離子聚合的特徵
鏈增長速率常數和聚合速率 隨溶劑和反離子(又稱抗衡離子)的不同而有顯著的變化。在極性大的溶劑中聚合速率快,例如苯乙烯用萘鈉在25°C聚合時,在四氫呋喃THF中的鏈增長速率常數比在苯(極性比 THF小)中的大兩個數量級。負離子聚合中增長鏈端的狀態可用下式表示:
溶劑對於聚合物結構的影響 在丁二烯等聚合時,在非極性溶劑中1,4-聚合的傾向大,特別是異戊二烯在戊烷中用鋰或丁基鋰聚合可得高順-1,4-聚異戊二烯(順式-1,4結構的含量為93%~94%,順式-1,2結構的含量為6%~7%),即合成的天然橡膠;而在四氫呋喃中用丁基鋰聚合時,順式-1,4結構的含量為26%,順式-1,2結構的含量為74%。
引發過程和鏈增長過程 前者比後者快得多,當沒有鏈轉移和終止反應時,即生成活的聚合物,其數均分子量嚔n=ΜO/CO,式中ΜO為單體的摩爾數;CO為聚合開始時引發劑的摩爾數。如果引發劑是雙負離子,兩端增長,則上式中的C0改為C0/2,嚔n增大一倍,聚合物的分子量分布也比較窄,接近於1。活的高分子 如果在聚合以後再加入別的單體,則可以得到預定鏈段長度的嵌段共聚物,例如合成苯乙烯與丁二烯的AB型嵌段共聚物和ABA型三嵌段共聚物(如SBS熱塑性彈性體)。如果在活的高分子中加入多官能團的低分子化合物,可得星型聚合物:

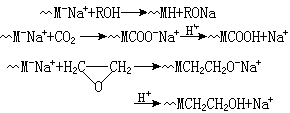
目前兩端帶活性官能團的遙爪聚合物(液體橡膠)以及星型和梳型聚丁二烯等已相繼問世。用環氧乙烷、環氧丙烷等進行負離子聚合所得的聚醚能溶於水,多用作非離子型表面活性劑,可用於紡織、染料、醫藥、農藥、造紙等工業以及石油工業中的破乳劑。
參考書目
S.Bywater, Anionic Polymerization,A.D.Jenkins,ed.,Progress in Polymer Science,Vol.4, Pergamon Press,London, 1975.D. H. Richards, Anionic Polymerization, R. N. Haward,ed.,Developments in Polymerization,Vol.1, Applied Science Pub., London, 1979.

