定義
負超幾何分布
負超幾何分布
負超幾何分布
負超幾何分布
負超幾何分布
負超幾何分布
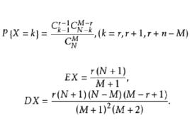
負超幾何分布負超幾何分布,亦稱 逆超幾何分布,是非還原抽樣次數的分布。假如總體 含 個元素,其中 個具有特徵 ;陸續自 非還原地一個一個地抽取元素,直到恰好出現 個具有特徵 的元素為止,則所需抽樣的次數 服從參數為 的負超幾何分布,此分布用於抽樣問題 。
基本介紹
負超幾何分布稱隨機變數 服從參數為 的 負超幾何分布,如果
負超幾何分布
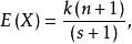
負超幾何分布其中 為正整數,其數字特徵為 :
例題解析
負超幾何分布
負超幾何分布
負超幾何分布
負超幾何分布
負超幾何分布
負超幾何分布例1 在一盒子裡有 把鑰匙,其中有 把是對應 個箱子的,其餘 把是房間的鑰匙,每次隨機地從盒子裡抽取一把鑰匙,且取後不放回,若取到直至第 個箱子打開為止,這時一共取出了 把鑰匙,若盒子裡的每把鑰匙有相同的機會被取到,求 的分布 ?
負超幾何分布
負超幾何分布
負超幾何分布
負超幾何分布
負超幾何分布
負超幾何分布解:事件“ ”等價於“在前 把鑰匙中有 把是箱子的鑰匙,且最後一次取出的鑰匙是箱子的”。由於鑰匙取出後不再放回,故有 (前 把鑰匙中有 把是箱子的) (從 把房間鑰匙、 把箱子鑰匙中取出一把箱子鑰匙)
負超幾何分布
負超幾何分布我們稱具有機率分布為上式的分布為負超幾何分布。
負超幾何分布
負超幾何分布令 ,並稱 為X的原點升階階乘矩。可以證明
負超幾何分布特別
負超幾何分布
負超幾何分布
