基本概況
許凱[法國數學家(圖為其著作)]加減運算是人類最早掌握的兩種數學運\算 ,且載於人類最早的文字記載中。古埃及的阿默斯紙草書就載有加號(Sign for Addition)及減號( Sign for Subtraction):向右走的兩條腿“”是加號,而向左走的兩條腿“”是減號。後者於莫斯科紙 草書中則表示“平方”。 古希臘的丟番圖以兩數並列表示相加,偶 然亦以一斜線“∕”及曲線“”分別作加號和減號使用。古印度人一般不用加號,只有在 公元三世紀的巴赫沙里(Bakhshali)殘簡中以“yu”作加及“+”作減。
中國古代因注重以工具計算,一般運算全 在算籌或算盤上進行,只記錄其結果,因此並無採用甚么數學符號,記錄時用文字表達運算 。十五世紀阿拉伯人蓋拉薩迪以兩數並列作加而以一特別符號“gs”作減號。
主要成就
法國人許凱(1484)、義大利人帕喬利(1494)及十六世紀大多數學家都以拉丁詞語plus(加)與minus (減)之首字母分別作加號(或p)和減號( 或m)。
十五世紀後廿年之德國人是最早使用現代 的加號“+”與減號“-”。德國德勒斯登(Dresden)圖書館所保存之手稿卷c.80(1486)中便正式使用了“+”、 “-”號。而最先於印刷的書內使用加號“+”與減號“-” 的是捷克人維德曼(1489)。
第一個被討論的負數開方運算從十五世紀末至整個十六世紀,義大利人 仍以及作加減號。到了1608年,德國人克拉維烏斯於羅馬出版的《代數》一書內採用了“+”“-” 號,義大利人才開始採用這兩符號,但到卡瓦列里時代已很純熟。
此外,英國首個使用這兩符號(1557)的是雷科德,而荷蘭則於1637年由胡克引入這兩符號,同時亦傳入其他歐洲大陸國家,後漸流行於 全世界。
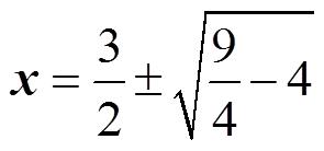
同時,許凱是最先考察負數開平方運算的人,在1484年,他在解方程4+x2=3x時得到的x值,因為根號下是負數,所以他認為不可能解這方程,與複數的發現擦身而過。
![許凱[法國數學家(圖為其著作)] 許凱[法國數學家(圖為其著作)]](/img/1/40a/nBnauM3XyczMzUDN2UzNygzM1UTM1QDN5MjM5ADMwAjMwUzL1czL4QzLt92YucmbvRWdo5Cd0FmLxE2LvoDc0RHa.jpg)
