基本介紹
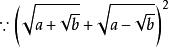
複合二次根式:(1)通常把形如
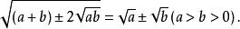
複合二次根式的根式叫做複合二次根式,其中其中a>0,b>0,a >b,當a -b是完全平方數時,有計算公式
複合二次根式
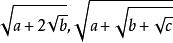
複合二次根式(2)把二次根式中套疊著二次根式的情形叫做複合二次根式。如等 。
相關定理及其證明
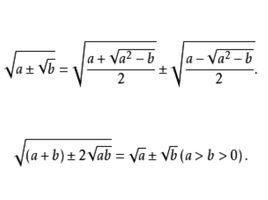
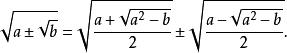
複合二次根式定理 設是複合二次根式,則
複合二次根式
複合二次根式證明:
複合二次根式
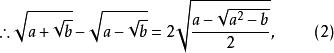
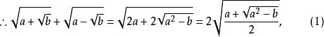
複合二次根式同理可得
複合二次根式將(1),(2)兩式相加減可得
複合二次根式複合二次根式的化簡
複合二次根式的化簡是複合二次根式的一種恆等變形,將複合二次根式
複合二次根式
複合二次根式化簡,就是通過代數式的恆等變形,將被開方數湊成完全平方式,從而消去最外層的根號.如果湊不成完全平方式,則複合二次根式
複合二次根式就不能用兩個有理數的平方根的和或差表示 。
複合二次根式化簡的常用方法有:
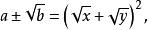
1.公式法。即利用公式
複合二次根式(a>0,b>0,a-b是完全平方式),
複合二次根式
複合二次根式2.配方法。即先把配成一個代數式的完全平方,再從根號內開出來。
3.方程組求解法。假定
複合二次根式解出x,y 。

