生平
科研一生
莊長恭莊長恭(1894.12.25~1962.2.15)字丕可,化學家,中國科學院學部委員。福建泉州鯉城人。1916年畢業於泉州中學(今泉州五中),因學業優異,以地方獎學金保送入北京大學化學系學習,後轉美國芝加哥大學。1921年畢業於美國芝加哥大學,1924年獲該校博士學位。 1948年選聘為中央研究院院士。1949年後,任中國科學院有機化學研究所所長、研究員。確證了麥角甾烷結構,推測了麥角甾醇的結構,設計了帶有角甲基雙環α-酮的合成方法;研究了甾族邊鏈的氧化斷裂,是當時國際上少數從事甾體全合成研究的知名化學家之一,其工作曾被引入著名教科書。研究了防已諾林、去甲基防已鹼等生物鹼結構。對有機合成特別是甾體化合物的合成與天然有機化合物的結構研究作出了卓越貢獻。重視並擬定有機化學中文命名,現用的吲哚、吡咯等雜環化合物名稱均為他所倡議的。1955年選聘為中國科學院院士(學部委員)。
1922年畢業,留校深造;1925年獲得化 學博士。回國後,擔任東北大學化學系教授、化學系主任、中美文化基金委員研究 講座。1931年,赴德國哥丁根大學的慕尼黑大學研究有機化學,從事麥角甾醇結構 的研究,取得傑出成績。1934年回國,歷任中央大學(南京大學)理學院院長、中央研究院化學 研究所所長。不久,當選為中央研究院評議員。抗日戰爭期間,曾在上海藥物研究 所從事研究工作,後輾轉到雲南昆明,繼續從事科研活動,抗戰勝利後,再度赴美 國與有機化學界科學家進行學術交流。1948年任台灣大學校長。 中華人民共和國成立後,他毅然間道返回大陸, 被任命為中國科學院有機經 學研究所所長。1956年3月,出任國務院科學規劃委員會委員。同年6月10日,當選 為中國科學院數學、物理理、化學學部委員,任該部常務委員、化學學部副主任。 1954年-1958年被選為第一、二屆全國人民代表大會代表。1962年2月15日, 不幸 於上海逝世。
取得成就
莊長恭一生從事科學研究和高等教育工作,對有機合成,行別是有關甾體化合 物的合成以及天然有機物結構的研究,作出了重大的貢獻。1937-1941年期間,發 表重要論文18篇。在德國哥丁根大學期間,對麥角 醇結構的研究卓有成效,探明 其化學結構,有力地推動了多環化合物化學的發展,為合成帶有角甲基多環a-酮, 他設計出一個帶有普遍意義的有效方法,受到國際有機化學界的重視。 莊長恭在德國從事研究工作時,曾經到奧地利維也納大學學習剛剛發展起來的 機微量分析技術。回國後,首次在中國引進和建立此項新技術。此外,他和合作者 進行生物鹼結構的研究,從中藥漢防已中分離出2種結晶生物鹼, 並對其結構進行 探索,一種已證明為防己鹼;另一種定名為防己諾林鹼,其中含有酚基,被證明為 脫甲基的防己鹼。 莊長恭治學嚴謹,對實驗現象的觀察極為仔細。如他在麥角甾醇結構的研究過 程中,從麥角甾烷的氧化物中,發現有難於溶解的鈉鹽懸浮於乙醚層和水層之間, 便把它們分離出來,經酸化得到關鍵性的產物——去甲膽酸。 莊長恭的科研著述頗豐,碩果纍纍。主要論文有《麥角甾醇的結構》《〔1〕 甲基-環已烷乙酸》《〔1〕甲酸-〔2〕及有關化合物的合成》、《草酸酯與 甲基-丙三羧酯的縮合》。他的科學成就及其事跡,載入《中國科苑英華錄》、《 中國科學家辭典》等書中。
化學研究
在甾體化合物合成與天然有機化合物結構的研究中作出卓越貢獻
1933年,莊長恭在德國哥丁根大學為客座教授時,從事麥角甾醇結構的研究,曾做出傑出的貢獻。他以精湛的技巧,從麥角甾烷(ergostane)的鉻酸氧化產物中分離到失碳異膽酸(nor-allo-choIanicacid,C23H38O2),並且從已知結構的異膽酸降解成為失碳異膽酸,進行比較,從而證明了麥角甾烷的結構為
推測了麥角甾醇的結構
麥角甾醇結構的重要性,表現在它和維生素D的結構關聯,是國際間富有挑戰性的課題。因此在40年代出版的國際間通用的教科書卡勒(Karrer)的名著《有機化學》第二版中所列舉的166項文獻中,唯一的一篇中國人的著作就是莊長恭的關於麥角甾烷文章。
分子式
分子式1934—1938年,莊長恭主要從事與甾體有關的化合物的合成,有力地推動了中國有機合成化學的發展。首先,他認為許多甾體化合物中,AB環和CD環之間均存在著角甲基,如何合成帶有角甲基的多環α-酮及其有關化合物,是甾體化合物全合成的關鍵。這是他早期科研工作的重點。他從2-甲基環己酮-甲酸酯-〔2〕經過三步,合成了2-甲基-環己烷-乙酸-〔1〕-甲酸-〔2〕(2)。
合成了2-甲基-環己烷-乙酸-
化合物(2)的合成,是他設計的甾體全合成中CD環的模型試驗。事實上巴赫曼(Bachmann)等在此後5年合成第一個天然甾體產物雌馬甾酮(equilenin)的途徑就部分地採用了莊長恭的方法。
從1-甲基-2-乙醯基-環戊烯-〔1〕,通過麥可(michael)加成,他和他的學生們合成了2,4-二氧代-8-甲基全氫茚,並進一步氧化成順式和反式的2-甲基-1-羧基-環己烷-乙酸-〔2〕。
莊長恭還指出,由2,4-二氧代-8-甲基全氫茚進一步與1-甲基-2-乙醯基-環己烯-〔1〕進行加成,可望獲得具有甾體基本骨架的化合物(3)。
分子式
分子式套用同樣方法,從1—乙醯基—環己烯〔1〕,通過麥可加成,則得到化合物(4),它經不同濃度的乙醇—氫氧化鈉在不同條件下處理,得到反式的或順式的十氫萘1,3-二酮。前者氧化成為反式鄰羧基環己烷乙酸,而後者則氧化成為順式酸。
分離得到兩種化合物
值得指出,上述反應由康(Kon)以及魯茨卡(Ruzicka)等人作過研究,但均未能分離到純的順式和反式二酮,莊長恭以其精湛的技巧,分離得到兩種化合物,足見其研究工作的嚴密性,堪為楷模。
分子式
分子式為了合成帶有角甲基的雙環α-酮,他設計了一個有普遍意義的製法,並獲得滿意的結果。方法的關鍵是,首先合成帶有甲基環烴不飽和酸(5),然後通過達金(Darzen)反應,環化為帶角甲基的不飽和的α-酮,再催化氫化為所需的化合物。
根據這一設計,他和他的學生們,通過下列一系列反應合成了化合物(6)和(7)。
合成了化合物(6)和(7)
上述化合物(6)的結構,是由(6)氧化成(2)予以證明。化合物(7)的結構,是由它的前身經克萊門遜(Clemensen)還原,再經高溫硒脫氫得到萘而予以證明。據著者所知,高溫硒脫氫時,封管炸碎了幾根,原料損失了幾次。於是他不得不重新合成,終於在多次失敗後,獲得了萘,而不是甲基萘,從而證明了(7)的結構。此舉充分顯示了莊長恭對待工作的嚴謹作風。他的這個帶有角甲基的雙酮α-酮製法被費歇爾(Fiser)譽為莊氏方法。這一工作成果發表後,引起了當時國際有機化學界特別是英國的魯賓遜(Robinson)、林斯特德(Linstead)、柯克(Cook)等人的重視,也把他們的帶有角甲基的多環α-酮的合成予以發表。
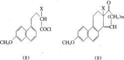
由於在帶有角甲基的多環化合物的合成取得了進展,莊長恭及其學生們接著致力於甾體本身——雌馬甾酮的合成。這也是當時國際有機化學界如英國的魯賓遜,德國的布特南迪(Butenandt)研究的對象。首先莊長恭用簡捷的方法合成了γ-m-甲氧基苯丁酸,保證了起始原料的供應。從它經過若干步驟合成了α-萘丁酸衍生物(8),從它進行下列幾步的合成,可望獲得雌馬甾酮的前體(9)(x=CH3,n=1)。
分子式
分子式治學態度
觀察敏銳
雌馬甾酮莊長恭治學態度極其嚴謹,觀察也很敏銳。例如他在決定麥角甾醇的結構工作中,從麥角甾烷的氧化產物中發現有難溶性的鈉鹽懸浮於乙醚層與水層之間,將它分離酸化得到關鍵性的失碳異膽酸,其數量是極微的(從7克的麥角甾烷只能得到20毫克的失碳異膽酸),這對當時的技術水平來說,是相當先進的,並對麥角甾醇結構的推斷具有決定意義。莊長恭的工作成果發表以後,有一位在哥廷根同實驗室的化學家說他運氣好,莊長恭回答道,科學研究不是靠運氣的,必須要有堅強的毅力,嚴謹的態度,敏銳的觀察才能獲得成就。這些話成為他的座右銘。
觸覺敏感
莊長恭對新的科學技術進展很敏感。他在德國研究時曾到維也納大學去親自學習有機微量分析技術,這在當時是剛剛發展的新技術,對研究微量成分非常重要,回國後即與其學生首次在中國建立了這門分析技術,對以後國內研究工作的開展有深遠的影響。
莊長恭熱愛研究工作,關心幹部的成長。他領導助手做研究工作時,都親自指導。有一年舊曆除夕,實驗室內的一些青年約好夜間聚餐,可是莊長恭卻留在實驗室里工作直到下班鈴響過好久以後。當時青年們雖然早就坐立不安,但事後卻深深地為他誨人不倦的精神所感動。又有一次他按規定到莫乾山作一個月的暑期休假,可是不到一周,又趕回來親自參與研究。當他設計一個研究路線時,要參閱許多文獻,甚至通夜不眠。有一天清晨,他來到實驗室告訴助手,他一夜沒有入睡,考慮了一條合成雌馬甾酮的路線,極有前途。後來通過實驗,證明了他的考慮是對的,他的這種精神深深感染了助手和學生。
勤于思考
他經常地鼓勵學生多想。當學生偶有一得和他討論時,他耐心地指出哪些是正確的,哪些是不正確的。當他看到學生正確的設計時,往往在紙上畫上兩三個圈,欣然自喜,學生也感到異常興奮。
莊長恭在大學任教時,備課非常認真,反覆思考怎樣講才能使學生們易於了解,因此他講課時,同學們聽得津津有味。例如他講有機化合物生色理論時,開始介紹生色團、助色團等,接著告訴同學不要滿足於只知道琴的聲音發自何處,還得思考琴弦為何能發出聲音來,於是再介紹電子振動吸收一定波長的可見光波而產生補色的理論。這樣,不但把問題講清楚,還啟發了大家認識自然必須逐步深入,要有打破砂鍋問到底的精神。
認真嚴謹
莊長恭不論做什麼工作,態度都是嚴肅認真的。不僅做年終總結或季度總結認真;即便是開一個清單或開列一個一年收發信件的目錄,也是一絲不苟,認真負責。有一次校對庫存,一連改正了7次才開出一張清單來。他說國家的外匯必須節省,尤其是主管人更應當認真負責。
嚴於律己
莊長恭嚴於律己,生活儉樸,熱愛祖國,為人正直不阿。他在台灣大學擔任校長時,原想辭退一批與當時權貴有裙帶關係的教師,但事與願違,遭到當局反對。他還曾幾次抗拒反動軍警入校捕人,並在他的宿舍里保護過被追捕的學生。
個人簡歷
1894年12月25日出生於福建省泉州市。
1916—1918年北京農業專門學校學習。
1919—1921年美國芝加哥大學化學系學習,獲學士學位。
1921—1924年美國芝加哥大學化學系學習,獲博士學位。
1924—1931年任東北大學教授,化學系主任。
1926—1933年中華教育文化基金董事會科學講座。
1931—1932年任德國哥廷根大學、明興大學客座教授。
1933—1934年任中央大學理學院院長。
1934—1945年任中華教育文化基金董事會研究教授。
1934—1943年任中央研究院化學研究所所長,當選為中央研究院學術評議會評議員。
1948年任台灣大學校長,當選為中央研究院院士。
1950年任中國科學院有機化學研究所所長。
1955年當選為中國科學院學部委員,並任數理化學部副主任。
1962年2月25日病逝於上海。
主要論著
1莊長恭,馬集銘.國藥玄參的化學組成初步報告.Trans..Sci.Soc.China,1932,7:187——194,C.A.1932,26:5699.
2莊長恭,田遇霖.國藥狼毒的經學研究初步報告.同上,1932,7:195—205;C.A.1932,26:5699.
3莊長恭,張維屏,沈海峰.中國藥澤瀉的化學組成初步報告.同上,1932,7:207—215;C.A.,1932,26:5699.
4莊長恭.麥角甾醇的結構.Ann.,1933,500:270—280;C.A.1933,27:2157.
5莊長恭,田遇霖,黃耀曾.2-甲基-環己烷乙酸-〔1〕-甲酸-〔2〕及其有關化合物的合成.Ber.deut.Chem.Ges.,1935,68B:864-870;C.A.1935,29:5081.
6莊長恭,馬集銘.環已烷二乙酸一〔1,2〕及其有關化合物的合成.同上,1935,68B:871-876;C.A.1935,29:5085.
7莊長恭,韓金鑒.丁二烯與烷基苯醌的加成.同上,1935,68B:876—882;C.A.,1935,29:5098.
8莊長恭.馬集銘,草酸酯與β-甲基-丙三羧酸酯的縮合.同上,1935,68B:882-886;C.A.,1935,29:5083.
9莊長恭,馬集銘,田遇霖.8-甲基全氫茚衍生物及順-和反-2-甲基-1-羧基-環戊烷-乙酸-〔2〕.同上1935,68B:1946-1957;C.A.1936,30:724.
10莊長恭,田遇霖.順和反十氫萘二酮-〔1,,3〕.同上,1936,69B:25-31;CA.1936,30;2953.
11莊長恭,田遇霖,馬集銘.帶有角甲基的多脂環α-酮合成的一般方法.同上,1936,69B:1494-1505;C.A.1936,30:6000.
12莊長恭,黃耀曾.γ-甲氧基苯基-丁酸的合成.同上,1936,69B:1505-1508:C.A.1936,30:6001.
13莊長恭,田遇霖,黃耀曾.甾醇及性激素類合成的研究.第一報,10羥基-3-氧代-六氫屈及其甲醚的合成.同上,1937,70B:858-863;C.A.1937,31:4674.
14莊長恭,邢其毅,高怡生,張國仁,一種漢防己生物鹼防已諾林,去甲基防已鹼的研究.同上,1939,72B:519-525;C.A.1939,33:4257.
15莊長恭,黃耀曾,馬集銘.甾醇及性激素類合成研究.第二報,3-氧代-六氫屈的合成.同上,1939,72B,:713-716;C.A.1939,33:4982.
16莊長恭,馬集銘,田遇霖,黃耀曾.甾醇及性激素類合成研究.第三報,7-羥基-3-氧代-3,4-二氫-(環戊烯基-1′,2′:1,2-菲)及其甲醚的合成.同上,1939,72B:949-953;C.A.1939,33:5862.
17莊長恭,朱任宏,高怡生.2-甲基-4-苯基-環已基乙酸及其有關化合物.同上,1940,73B:1347-1353;C.A.1941.35:2865.
18莊長恭,朱任宏,高怡生.甾醇及性激素類合成研究.第四報,3-萘基-〔2〕-環戊酮衍生物合成.同上,1941,74B:798-806;C.A.1941,35:6951.


