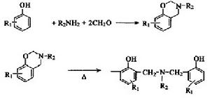
以酚類化合物、胺類化合物和甲醛為原料合成的苯並六元雜環化合物——苯並惡嗪單體,最初在Mannich反應中發現,可在加熱和(或)催化劑作用下發生開環聚合反應形成聚苯並惡嗪樹脂。與一般的酚醛樹脂相比,聚苯並惡嗪樹脂在成型固化過程中沒有小分子放出,製品孔隙率低,接近零收縮。另外,在分子設計中有更大的靈活性,可認為是一種新型的酚醛樹脂。聚苯並惡嗪樹脂的製備過程如圖所示。

國內外研究概況
1944年,Holly和Cope在合成Mannich反應產物中意外發現苯並惡嗪化合物。1949年以來,Burke等人對苯並惡嗪的合成進行了較為深入的研究,合成了一系列含苯並惡嗪的化合物。1973年,Schreiner首次報導了經苯並惡嗪開環聚合製備酚醛塑膠的研究工作,相繼申請了數項專利。但整個20世紀80年代,苯並惡嗪的基礎研究處於停滯局面。90年代以來,美國Case Western Reserve大學的Hatsuo Ishida等人開始對苯並惡嗪的聚合反應機理、結構與性能、聚合反應動力學、聚合物的熱分解機理進行了系統的研究。
國內的研究始於20世紀90年代中期,四川大學高分子科學與工程學院顧宜等人在苯並惡嗪開環聚合機理、固化動力學、計算機分子模擬、燒蝕機理等基礎研究方面做了大量工作,使苯並惡嗪材料在層壓板、真空泵旋片、印製電路基板和低黏度樹脂成型(RTM)等領域得到套用,並有數項專利獲得授權。北京化工大學余鼎聲等人對苯並惡嗪的固化動力學、結構改性、雜化材料製備等進行了相關研究和報導。
特徵性能及套用
特徵性能1.高耐熱性:固化完全後,玻璃化轉變溫度(Tg)在150℃以上
2.優良的電絕緣性能:苯並惡嗪開環聚合後,具有類似酚醛樹脂的結構,覺有良好的電絕緣性能;
3.良好的機械性能:苯並惡嗪樹脂在適當的溫度條件下即可固化,但固化溫度和後處理溫度較酚醛和環氧較高;但它和環氧樹脂複合使用時,具有良好的力學性能。
1.覆銅板、層壓板:苯並惡嗪與含磷環氧樹脂複合使用,能實現N-P複合阻燃,從而實現無鹵阻燃,所以被廣泛套用在無鹵覆銅板上;由於其優良的耐熱性,也被使用在高耐熱覆銅板上;同時也用於F級、H級環氧層壓板上,以提高層壓板的耐熱性和阻燃性;
2.耐火材料:由於苯並惡嗪樹脂固化無小分子放出,固化過程不釋放水分,其耐熱性好,特殊耐火材料上也得到了套用;
3.RTM
4.醫藥化工:苯並惡嗪種類眾多,部分苯並惡嗪中間體具有醫藥價值,受到國內外眾多醫藥企業和研究機構的重視,近幾年,不斷有苯並惡嗪醫藥中間體問世;
5.複合材料:苯並惡嗪樹脂能與環氧樹脂、酚醛樹脂良好複合,從而得到性能更優異的複合材料,在航空航天,汽車火車等諸多領域得到大力套用;
第一屆全國苯並惡嗪技術研討會
由四川大學高分子學院牽頭,第一屆全國苯並惡嗪技術研討會將於2011年7月在天府之國-錦官城成都舉行。
