基本簡介
船舶係數是船體水下部分幾何形狀、面積或體積肥瘦程度的各種無因次係數的統稱。包括:水線面係數、中橫剖面係數、方形係數和棱形係數等。這些係數分別是體積或面積與其相對應的外切矩形面積或長方體或稜柱體體積之比。船型係數對各種裝載情況下的阻力和航速計算起著舉足輕重的作用。
科技名詞定義中文名稱:船型係數
英文名稱:coefficients of form
定義:用以表示船體線型肥瘦特徵的各種無量綱係數的統稱。
所屬學科: 船舶工程(一級學科) ;船舶總體(二級學科)
體積係數
方型係數——表示水下部分總的肥瘦程度;
棱型係數——反映船體水下部分的體積沿船長的分布情況;
垂向棱型係數——表示水下部分排水體積沿吃水方向的分布情況。
面積係數
水線面係數——反映設計水線面兩端的瘦削程度;
中橫剖面係數——反映中橫剖面的飽滿程度。
船型係數計算
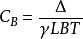
方型係數
方形係數C反映了船體水下部分肥瘦程度,是排水量和各主要尺度間的紐帶。
方形係數
船型係數方形係數應滿足的條件:
船型係數其中 —— 排水量,t;
L —— 水線長,m;
γ —— 水的密度,t/m ;
B—— 船寬,m;
T——吃水,m。
棱形係數
棱形係數棱形係數(或稱縱向棱形係數)C的大小表示船體水下型排水體積沿船長方向的分布情況。棱形係數即為船體水線以下的型排水體積▽與相對應的中橫剖面面積A、船長L所構成的柱體體積之比,即
船型係數該式反映了C與排水體積的關係;當L,V為定值,C增大,則A 減小,表示排水體積沿船長方向的分布較均勻,首尾豐滿;當C減小,則A 相應增大;表示排水體積在船中部較集中,首尾削瘦。
垂向棱型係數
垂向棱形係數垂向棱形係數C的大小表示船體水下型排水體積沿吃水方向的分布情況。定義式為船體水線以下的型排水體積▽與相對應的水線面面積A、吃水T所構成的柱體體積之比,即
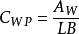
船型係數水線面係數
水線面係數水線面係數的大小表示水線面的肥瘦程度。它是與基平面相平行的任一水線面的面積A與船長L、船寬B所構成的矩形面積之比,即
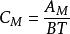
船型係數中橫剖面係數
中橫剖面係數中橫剖面係數的大小表示中橫剖面的肥瘦程度。中橫剖面在水線以下的面積AM與船寬B和吃水T所構成的矩形面積之比,即
船型係數C對阻力的影響很小,所以在確定時以考慮與其它船型係數配合為主。當排水量一定時,若C較小,則C不宜過大,因此時型線較瘦,過大的C將使船中部凸出造成明顯的突肩而
加大興波阻力;反之,對中低速等大方形係數船,為減小C應儘量取大的C。C值隨C和L/B的減小而適當降低。
注釋
由於在一些船舶工程教材和設計資料中,對船型係數的定義和計算舉例沒有統一,故而有兩種計算方法。上海交通大學編寫的《小型船舶設計與建造》、長江船舶設計院編寫的《內河船舶設計手冊》 船體分冊和武漢水運 工程學院編寫的《船舶設計基礎 》提出的具體計算方法可以總結成兩種。
說明
1、船型係數均是吃水的函式(各定義式的各項均為吃水的函式),如無特別指明,通常都是針對設計水線而言。
2、在計算不同水線處的各係數時,根據船型係數的幾何含義,其船長和船寬應取為該吃水時水線對應的水線長和水線寬,吃水則取所計算處的吃水值。
3、如果最大橫剖面不在船中處,計算中橫剖面係數和棱形係數時,應取最大橫剖面處的有關數據。
4、對於一般的船舶,上述各係數的值均小於1.0。
6、同一條船舶吃水一定時,C>C、C>C。

