自由基聚合引發劑
水溶性偶氮類引發劑
正文
簡稱引發劑。指一類容易受熱分解成自由基(即初級自由基)的化合物,可用於引發烯類、雙烯類單體的自由基聚合和共聚合反應,也可用於不飽和聚酯的交聯固化和高分子交聯反應。由兩種或多種引發劑組成的引發體系稱複合引發體系;而由兩個可以發生氧化還原反應產生自由基的引發劑組成的體系則稱氧化還原引發體系。後者可在較低的溫度下引發,聚合屬於氧化還原聚合。有些不能用作熱引發劑的化合物,經紫外線照射後,能分解成自由基而引發單體聚合者,稱為光敏引發劑,簡稱光敏劑,這類聚合屬於光聚合。鍵斷裂能量不超過25~40千卡/摩爾的化合物,適合於作引發劑,破壞這些鍵需要加熱到50~150°C,這也是一般烯類自由基聚合的溫度範圍。目前工業上常用於自由基聚合的引發劑有過氧化物、偶氮化合物等。由於過氧化物遇熱、碰撞等會發生爆炸,使用時要特別注意。市售的過氧化物一般是用溶劑稀釋的,固體過氧化物則用水潤濕或用鄰苯二甲酸酯調成糊狀物。引發劑的分類 可以按照引發劑的分解方式將引發劑分為熱分解型和氧化還原分解型兩類;也可以按照其溶解性能分為水溶性引發劑(如無機類的過硫酸鹽、過氧化氫等)和油溶性(溶於單體或有機溶劑)的有機類引發劑;或者按照引發劑的使用溫度範圍,分為:①高溫(100°C以上)類,如烷基過氧化物、烷基過氧化氫物、過氧化酯等;②中溫 (40~100°C)類,如偶氮二異丁腈、過氧化二醯、過硫酸鹽等;③較低溫(0~40°C)類,如氧化還原引發體系。因此應根據聚合反應的溫度要求來選擇引發劑。如果高溫引發劑用在中溫範圍聚合,則分解速率過低,而使聚合時間延長;如果中溫引發劑用於高溫範圍聚合,則分解速率過快,引發劑過早消耗,在低聚合轉化率階段就停止反應。引發劑按分子結構可分為兩類:
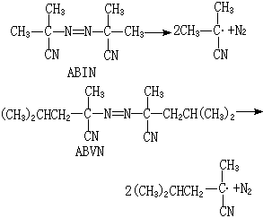
偶氮化合物 常用的有偶氮二異丁腈ABIN和偶氮二異庚腈ABVN,適用於中溫引發分解反應:









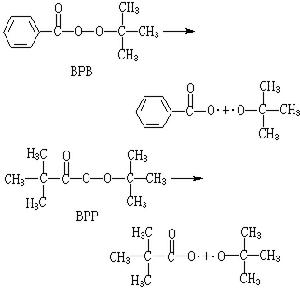
二環己酯DCPD和過氧化二碳酸二(對叔丁基環己酯)TBCP來引發: 





新型水溶性偶氮引發劑 這類引發劑是在油溶性偶氮類引發劑的基礎上,引入親水性的基團的引發劑。主要有偶氮二異丁脒鹽酸鹽(V-50),偶氮二異丙基脒唑啉鹽酸鹽(VA-044)等,由於是在普通偶氮引發劑的分子上引入了親水性基團取代氰基,所以水溶性很好。由於此類偶氮引發劑已經不含有氰基,所以不用在使用中有中毒的顧慮,而且偶氮引發劑是一級反應,在引發反應中進行平穩,過程比較好控制,因此可以輕易獲得高線性和高分子量的產品,而且反應完全,反應溫度也比較低,為40~60攝氏度。V-50還是一種優異的陽離子引發劑與光引發劑,因此套用十分廣泛,在陽離子聚丙烯醯胺、PDA、PMDAAC等功能高分子,陽離子乳液、膠黏劑等的生產中都有不俗的表現。
V-50結構式
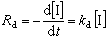
VA-044結構式引發劑的分解速率 引發劑的分解反應為一級反應,其分解速率Rd與引發劑濃度【I】的一次方成正比:


引發劑半衰期 引發劑的分解速率也可以用引發劑的半衰期 t┩來衡量。所謂半衰期是指在某一溫度下引發劑分解至起始濃度的一半時所需的時間,半衰期的單位是小時。在一級反應中,t┩與kd的關係為:

自由基聚合引發劑引發劑效率 引發劑效率用f表示,它指由引發劑分解產生的初級自由基引發單體聚合的百分率:

引發劑的誘導分解 這是由自由基(可以是初級自由基或是增長鏈自由基等)向引發劑的轉移反應,使原來的自由基終止成穩定分子,同時產生一新的自由基。雖然引發劑的誘導分解並沒有改變自由基的濃度,但消耗了引發劑,從而降低引發劑效率,例如過氧化二苯甲醯的誘導分解反應:

初級自由基的副反應 它也是消耗引發劑的反應。由於引發劑分子被溶劑分子所包圍,引發劑分解成初級自由基後,必須擴散出溶劑的包圍,才能引發單體聚合。如果初級自由基在沒有擴散出來以前,就發生了偶合(結合)終止,或形成較為穩定的自由基,也會使f減小,這種溶劑效應稱為籠蔽效應。
參考書目
N.Cooper and G. Pope, Introduction to Addition Polymerization, C. E. Schildknecht and I. Skeist,ed., Polymerization Processes, John Wiley & Sons,New York, 1977.
馮新德著:《高分子合成化學》,上冊,科學出版社,北京,1981。
