概述
能帶自20世紀六十年代,電子計算機得到廣泛套用以後,使用電子計算機依據第一原理做複雜能帶結構計算成為可能(不過仍然非常耗時,一次典型的能帶結構自洽計算在普通工作站上往往需要花幾個小時甚至一周多的時間才能完成)。能帶理論由定性發展為一門定量的精確科學。
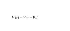
電子-模型圖 晶體中電子所能具有的能量範圍,在物理學中往往形象化地用一條條水平橫線表示電子的各個能量值。能量愈大,線的位置愈高,一定能量範圍內的許多能級(彼此相隔很近)形成一條帶,稱為能帶。各種晶體能帶數目及其寬度等都不相同。相鄰兩能帶間的能量範圍稱為“能隙”或“禁帶”。晶體中電子不能具有這種能量。完全被電子占據的能帶稱“滿帶”。滿帶中的電子不會導電;完全末被占據的稱“空帶”;部分被占據的稱“導帶”。導帶中的電子能夠導電;價電子所占據能帶稱“價帶”。能量比價帶低的各能帶一般都是滿帶,價帶可以是滿帶,也可以是導帶;如在金屬中是導帶,所以金屬能導電。在絕緣體中和半導體中是滿帶所以它們不能導電。但半導體很容易因其中有雜質或受外界影響(如光照,升溫等),使價帶中的電子數目減少,或使空帶中出現一些電子而成為導帶,因而也能導電。
結構簡介
能帶 |
能帶結構可以解釋固體中導體、半導體、絕緣體三大類區別的由來。材料的導電性是由“傳導帶”中含有的電子數量決定。當電子從“價帶”獲得能量而跳躍至“傳導帶”時,電子就可以在帶間任意移動而導電。
一般常見的金屬材料,因為其傳導帶與價帶之間的“能隙”非常小,在室溫下 電子很容易獲得能量而跳躍至傳導帶而導電,而絕緣材料則因為能隙很大(通常大於9電子伏特),電子很難跳躍至傳導帶,所以無法導電。一般半導體材料的能隙約為1至3電子伏特,介於導體和絕緣體之間。因此只要給予適當條件的能量激發,或是改變其能隙之間距,此材料就能導電。
理論
能帶
能帶
能帶
能帶其中
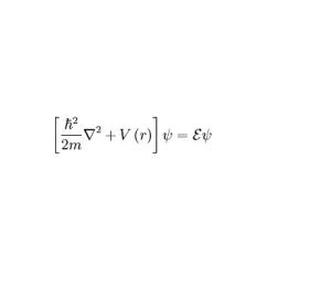
為周期性等效勢場,ψ為波函式,為普朗克常數,m為質量,▽為微分算符,ε為能量近自由電子模型依據能帶理論,可以認為固體內部電子不再束縛在單個原子周圍,而是在整個固體內部運動,僅僅受到離子實勢場的微擾。本徵波函式的主部是動量的本徵態,散射只給出一階修正。這個模型只對少數晶體(如鹼金屬)適用。
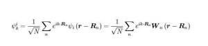
緊束縛近似是將在一個原子附近的電子看作受該原子勢場的作用為主,其他原子勢場的作用看作微擾,從而可以得到電子的原子能級和晶體中能帶之間的相互關係。在此近似中,能帶的電子波函式可以寫成布洛赫波函式之和的形式:
其中
被稱為瓦尼爾函式。可以用微擾理論求解該近似模型。求解結果為一個原子能級對應一條能帶。緊束縛適用於計算相當多的晶體能帶。
參考文獻
黃昆,《固體物理學》
能帶理論
能帶
能帶理論意義
能帶理論是現代固體電子技術的理論基礎,對於微電子技術的發展起了無可估量的作用。能帶理論研究固體中電子運動規律的一種近似理論。固體由原子組成,原子又包括原子實和最外層電子,它們均處於不斷的運動狀態。為使問題簡化,首先假定固體中的原子實固定不動,並按一定規律作周期性排列,然後進一步認為每個電子都是在固定的原子實周期勢場及其他電子的平均勢場中運動,這就把整個問題簡化成單電子問題。能帶理論就屬這種單電子近似理論,它首先由F.布洛赫和L.-N.布里淵在解決金屬的導電性問題時提出。具體的計算方法有自由電子近似法、緊束縛近似法、正交化平面波法和原胞法等。前兩種方法以量子力學的微擾理論作為基礎,只分別適用於原子實對電子的束縛很弱和很強的兩種極端情形;後兩種方法則適用於較一般的情形,套用較廣。

能帶