具體內容
在固體物理學中,布洛赫波(Bloch wave)是周期性勢場(如晶體)中粒子(一般為電子)的波函式,又名布洛赫態(Bloch state)。
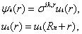
布洛赫波由一個平面波和一個周期函式(布洛赫波包)相乘得到。其中與勢場具有相同周期性。布洛赫波的具體形式為:
公式式中k 為波矢,Rn為格矢。上式表達的波函式稱為布洛赫函式。當勢場具有晶格周期性時,其中的粒子所滿足的波動方程的解ψ存在性質:
公式這一結論稱為布洛赫定理(Bloch's theorem),其中為晶格周期矢量。可以看出,具有上式性質的波函式可以寫成布洛赫函式的形式。
更廣義地,布洛赫波可用於描述周期性介質中的任何“類波動現象”——譬如周期介電性介質(光子晶體)中的電磁現象;周期彈性介質(聲子晶體)中的聲波,等等。
平面波波矢(又稱“布洛赫波矢”,它與約化普朗克常數的乘積即為粒子的晶體動量)表征不同原胞間電子波函式的位相變化,其大小只在一個倒易點陣矢量之內才與波函式滿足一一對應關係,所以通常只考慮第一布里淵區內的波矢。對一個給定的波矢和勢場分布,電子運動的薛丁格方程具有一系列解,稱為電子的能帶,常用波函式的下標n 以區別。這些能帶的能量在的各個單值區分界處存在有限大小的空隙,稱為能隙。在第一布里淵區中所有能量本徵態的集合構成了電子的能帶結構。在單電子近似的框架內,周期性勢場中電子運動的巨觀性質都可以根據能帶結構及相應的波函式計算出。
定理結果
布洛赫定理說明了一個在周期場中運動的電子波函式為:一個自由電子波函式與一個具有晶體結構周期性的函式的乘積。
♦ 只有在等於常數時,在周期場中運動的電子的波函式才完全變為自由電子的波函式。
♦ 這在物理上反映了晶體中的電子既有共有化的傾向,又有受到周期地排列的離子的束縛的特點。
♦ 因此,布洛赫函式是比自由電子波函式更接近實際情況的波函式。
上述結果的一個推論為:在確定的完整晶體結構中,布洛赫波矢是一個守恆量(以倒易點陣矢量為模),即電子波的群速度為守恆量。換言之,在完整晶體中,電子運動可以不被格點散射地傳播(所以該模型又稱為近自由電子近似),晶態導體的電阻僅僅來自那些破壞了勢場周期性的晶體缺陷。
從薛丁格方程出發可以證明,哈密頓算符(Hamiltonian)與平移算符(translation)的作用次序滿足交換律,所以周期勢場中粒子的本徵波函式總是可以寫成布洛赫函式的形式。更廣義地說,本徵函式滿足的算符作用對稱關係是群論中表示理論的一個特例。

