研究背景
目前我國大多數油田已經進入開發中後期,其中注水油田進入高含水、高采出的“雙高”階段,稠油熱采也進入了高輪次吞吐階段,產量遞減已不可避免,剩餘可采儲量逐年減少,開採成本逐年遞增。因此,研究油田的經濟極限產量對於油田設計開發方案,確定剩餘開採時間等都具有重要的現實意義。所謂經濟極限產量,是指油田生產進入中後期,產量開始遞減,經濟效益隨之下降,當產量下滑到某一數值時,油田的生產效益只能滿足生產成本的需要,此時的產量稱之為經濟極限產量。在產量遞減到經濟極限產量之後,如果繼續開採,就意味著虧本生產。
為此,研究與探討油田經濟極限產量,具有重要的經濟意義,尤其對於擁有兩個或兩個油田以上的公司而言,如何在所有油田同時開採的情況下,計算出油田的經濟極限產量,並使總的綜合效益最大化,則更具有現實價值。由於油氣開採受自然、地質等複雜因素的影響,在考慮綜合效益下計算出的油田經濟極限產量,在經濟上並非為最優的經濟極限產量,但可稱之為次優的經濟極限產量,且絕對是綜合效益最大的經濟極限產量,這裡所說的綜合效益包括經濟效益,社會效益,資源效益。
簡介
在油田生產過程中, 如果其產出油的銷售收入剛好等於全部生產成本及稅金, 由此推算出的邊際產量及極限含水稱為全部費用關井界限。實際生產中如果一個油田或一口井的產量大於它, 則這個油田或這口井是有效益的, 反之則是無效益的。
計算公式
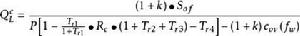
根據盈虧平衡原理, 可推導出關井產量界限模型:
老井生產界限式中:
老井生產界限———效益產量界限或關井產量界限, 10t/ a ;
c———變動費用, 元/ t;
T ———原油銷項稅率(17%) ;
T ———城市維護建設費( 7%) ;
T ———教育附加費(3% ) ;
T———資源稅, 元/ 噸;
R———增值稅實交比例(即扣除進項稅後占收入比例);
S———單井年固定操作費用;
P——原油價格, 元/ 噸。
假設油井的生產時率為T 天, 則單井日產界限為:
老井生產界限式中: q ———單井日產界限, t/ d。
模型參數確定
在計算老井生產界限時,由於老井一般都認為經歷了10年以上的開採時間,所以不考慮其投資,僅計算它的經營成本。
對原有經營成本採用不同的考慮方法,可以得出不同概念的經濟極限含水及經濟極限產油量。常規成本分析法是考慮老井開採時所需的全部經營成本;而最低成本法,則是按油井最主要的維持生產的費用來計算。經營成本分固定和可變兩部分,單井成本包括材料費、燃料費、動力費、驅油污注入費和油氣處理費。單井固定成本包括生產工人工資和福利費、井下作業費、修理費、測井試井費、製造費和其他開採費以及抽油設備的折舊等。用最低成本法測算時,可變成本的取法與常規成本分析法相同,固定成本僅取生產工人工資、井下作業費中的檢泵費和設備折舊費。
不同油價、不同投資條件下,不同類型油藏的老井生產界限是不同的,在實際工作中,可以製作出不同類型油藏的經濟界限圖版,便於求取界限值。
在油田開發項目生產成本的測算過程中,應根據技術可行性研究中提出的主要工藝和技術方案,對項目的具體特點認真研究,並參考類似油田的成本資料合理分析,不可盲目套用以往成本數據。因此,要求建立近幾年已建油氣田開發建設與生產的綜合資料庫,並對收集的數據去偽存真,確保基礎數據的真實、可靠、有代表性。
把預測的原油產量與所計算經濟極限產量相對比,若當年預測產量等於項目經濟極限產量,該年就是項目經濟極限壽命期。
因此,油田開發項目的經濟壽命期,即油田關井、棄井和廢棄油田的前提條件(決策公式)為:經營成本大於銷售收入。影響油田開發項目經濟壽命期的因素從經濟角度看,主要有成本、油氣價格和原油產量。成本為開發油氣的投入,價格和銷售量(產量與商品率的乘積)決定開發油氣的產出。而產量、成本、商品率等都與地質條件、油氣開發過程中的技術構成、科技創新、管理水平以及經營機制等有關。綜觀油氣田的開發過程,油氣井和油氣田開發的經營成本與其所處的生產階段有著密切的聯繫。隨著儲量動用程度的提高及油田的含水率也相應提高,使得開發油田的經營成本不斷上升;而原油產量卻在穩產一定時期之後逐步下跌,從而導致油氣銷售收入的下降。投入產出的比例隨著油氣開發的進程不斷地變化,投入愈來愈大,產出卻越來越少。到了某一時刻,繼續生產可能是沒有效益的。此時,該油氣井或油田的經濟壽命期已經結束,應該將之關閉或廢棄。
當然,廢棄油田要遠比關掉或廢棄某些生產井要複雜的多。因為油田的廢棄是一個逐步退出的過程,至於油田是否需要廢棄不僅受自身資源條件的影響,還受技術進步和原油價格的影響。另外,在考慮是否廢棄油田時,不應考慮過去發生的成本,只要當期實際的現金流入大於或等於現金流出,就應繼續維持生產,並按照盈虧平衡分析或投入產出比較,油田達到經濟極限壽命期後,儘管的確已經沒有了經濟價值時也不應立即廢棄,而應首先停止注水,然後具體問題具體分析。

