簡介
油藏在沒有被打開之前, 存在著一個原始的壓力場。儘管各處的壓力伴隨著其深度不同而有所差別, 但是如果把這些壓力都折算到一個共同的基準面上, 那么這些折算壓力值應該是相同的。這時油藏內的流體都處於一種平衡的靜止狀態, 不發生任何流動。伴隨油井鑽開油藏, 進行採油、注水, 油藏內靜止的壓力平衡就被打破, 從各注水井井底經過油層直到各採油井井底就建立一個新的壓力場, 我們稱之為油藏的“ 壓力系統”。油藏內油、氣、水等流體就在這個壓力系統的控制和支配下流動。因此, 這個壓力系統的合理與否對於油藏能否有旺盛的生產能力, 採取什麼採油方式, 以及能否取得較高的採收率都有舉足輕重的影響。另一方面, 人們可以通過注水量和產液量的調節反過來調節各處壓力的高低, 以建立合理的壓力系統。
合理壓力系統是合理的協調好注水井井底壓力、地層壓力和生產井流動壓力之間的匹配關係, 以達到合理利用能量、經濟有效地發揮油層生產能力、提高採收率的目的。在實際生產過程中, 油藏內的壓力系統處於一個複雜的動態變化過程之中。有時在一個相當短的時期內, 也可能處於相對地動態平衡狀態, 但從油田開發整個過程來看, 由於水驅油本身就是一個不定常的滲流過程, 因此它總是處在一種平衡被不斷打破、新的平衡不斷建立, 以後又被打破這樣的變動之中。在這個變化過程中注水井井底壓力、地層壓力和生產井流動壓力之間存在著相互影響、相互依賴的複雜關係。
注水井井底壓力與地層壓力之間構成注水井注水壓差, 對於一定的油層, 這個壓差決定了注入量的大小; 同樣, 地層壓力與生產井流動壓力之間的生產壓差決定了產出量的大小。為了便於討論, 我們先假定油藏是均質的, 油水粘度相同, 而且是完全的活塞式驅替, 注采井數相同, 各注水井的井底壓力和各生產井的流動壓力也都相同。在這種情況下, 如果注采平衡, 那么壓力系統將處於一個穩定的狀態。但是, 如果增加注水壓力, 即增加注水井的注水壓差, 而生產井的流動壓力暫時不變; 那么注入量將大於產出量, 導致油層壓力不斷增加, 從而不斷縮小注水井注水壓差及增加生產井生產壓差; 隨注入量的不斷減少, 產出量的不斷增加, 最後注水量、產出量和壓力系統都將達到新的平衡狀態。這時注入量、產出量和地層壓力都處在一個比原有平衡值更高的水平上, 不過注入量的增加不如初始的增量大。同樣, 如果減少注水井注水壓力而生產井的井底流動壓力保持不變,那么會經歷一個相反的過程。如果單方面增、減生產井流動壓力, 或者同時變動注水井井底壓力和生產井流動壓力, 也同樣會使注、采量和地層壓力達到新的平衡狀態, 只是要看這些變化的結果是注入量大於產出量, 還是注入量小於產出量, 也就是注采比的問題, 前者會達到注、采量及油層壓力都有所增加的新平衡, 而反過來後者則達到注、采量及油層壓力都有所減少的新平衡。如果同時增加或減少注水井井底壓力和減少生產井流動壓力,而注、采的增量或減少量差不多時, 地層壓力可能變化不大, 而注、采量的變化幅度比單純改變一個壓力時要大。
值得注意的是, 舊的平衡被打破到新的平衡建立起來之前需要一個壓力傳導過程, 如果油藏的導壓係數比較大, 特別是滲透率比較高時, 這個過程就比較短, 反之就會比較長。因此對滲透率非常低的油藏, 達到新平衡的時間就會非常之長, 可能在注水井一側地層壓力憋得非常高而生產井一端地層壓力卻變動很小甚至沒有變化。這時注水井的注水壓差和注水量雖然較初期有所增加, 但不久就可能減少甚至接近原有的水平; 生產井的生產壓差和產出量卻在相當一段時間內不會增加。
複雜性
(1) 由於油水粘度比的不同以及水驅油非活塞性的存在, 即使注、采量不變, 隨著水驅前緣推進, 其滲流阻力視水淹區的流度與純油區流度的不同而增加或減少, 則該油層注水井井底壓力與生產井流動壓力之間的總壓差也會隨之增大或減少, 造成壓力系統的不斷改變。如果某處油層壓力低於飽和壓力, 原油脫氣後滲流阻力會增加, 反過來又會影響壓力的變化。
(2) 由於平面非均質性的存在使各井點的滲透率等儲層物性參數不同, 有的井點注入或產出量比較大, 有的井點卻比較小; 注入水的推進速度也有差異, 這都會使各處的地層壓力存在差異。
(3) 對於多層砂岩油藏, 由於層間非均質性的存在而導致高滲透小層進水多, 低滲透小層進水少或不進水, 造成各小層間壓力的差異。
(4) 油層見水後, 由於含水的上升, 井筒內液柱的相對密度逐漸增加, 造成井底流壓不斷上升, 在同樣的地層壓力下會導致產液量和產油量的下降。
(5) 由於各井的採油方式不同, 如有的井自噴採油、有的井機械採油、有的泵大、有的泵小; 或者不同井採取了不同的措施, 如轉注、壓裂、堵水等, 這也將造成各井點的壓力分布不同。
應該指出, 即使存在著這樣多影響壓力系統的具體因素, 但上述隨著總注采比的不同, 而使壓力系統向著提高油層壓力或降低油層壓力轉變的大趨勢仍是成立的。只是不可能達到絕對的穩定狀態, 而是達到一個相對的、一個時期的平衡狀態。因此人們可以通過注采比的調整來建立有利於提高開發效果的合理壓力系統, 另一方面, 對於影響開發效果的區域間、井間、層間的壓力分布不均衡的狀態也應注意加以調整。
建立合理的壓力系統應遵循的原則
建立合理的壓力系統應遵循以下原則:
通過注采比的調整, 保持比較高的地層壓力, 才能保持較大的生產壓差, 這是保證油藏有旺盛生產能力的關鍵。適量提高注水壓力, 不僅有利於增加吸水量, 保持較高的地層壓力, 而且有利於減緩多層砂岩油藏的層間干擾, 增加波及體積。但注水壓力過高也可能反而加劇層間干擾, 甚至造成套管損壞。注水井井底壓力要嚴格控制在油層破裂壓力以下。增加注水壓力可以使吸水量增加, 並增加地層壓力, 但要看生產井的情況。如生產井降低流動壓力, 則吸水量可以增加而地層壓力變化可能不大; 如生產井流動壓力不變, 則地層壓力增加後, 注水量的增量會減少。
此外, 從注水井全井及分層指示曲線可以發現, 當注水壓力增加時, 會使更多的小層吸水, 從而使全井的吸水指示曲線出現拐點, 表明其吸水量有突變式的增加。適度提高注水壓力可以增加吸水層數, 從而減緩層間干擾, 擴大注入水波及體積, 有利於提高水驅採收率。
但是從實踐中常常可以發現, 當注水壓力提高到一定程度以後, 少數高滲透層吸水量占全井吸水量的比重大幅度增加, 而其他層或者其吸水量不能成比例地增加, 或者絕對值也有所降低, 甚至停止吸水, 這說明注水壓力的提高反過來加劇了層間干擾。這種現象與油層內原來處於閉合狀態的裂縫或裂縫張開有關。如果注水井井底壓力高於油層的破裂壓力, 那么地層內沒有天然裂縫或微裂縫, 也會壓開油層, 形成人工裂縫。因此嚴格控制注水井的井底壓力小於地層破裂壓力。
此外, 注水壓力過高還可能使注入水竄入泥岩段或頁岩層, 造成泥、頁岩膨脹或滑動而擠壞套管, 或者竄入附近的斷層造成斷層蠕動而導致套管變形。保持或恢復油層壓力至較高的水平, 有利於保持較長的自噴期。自噴開採設備簡單、管理方便, 易於進行油藏監測, 經濟效益好, 特別是便於分層的資料錄取、作業、調整。在開發初期, 油層壓力高, 能量旺盛, 只要井底流動壓力高於最低自噴流壓, 都儘量採取自噴開採方式, 並儘可能延長自噴期。在無水採油期, 主要受原油粘度和飽和壓力的影響, 原油粘度高, 流體在井筒內的流動阻力大, 最低自噴流壓就高; 飽和壓力低, 則氣油比小, 井筒內脫氣點淺, 混氣液柱的壓力大, 最低自噴流壓也高。在油井見水後, 隨著含水的上升, 井筒內流體液柱的相對密度不斷增加, 氣液比減少, 自噴能力減弱, 導致最低的自噴流壓也不斷上升。當油井井底流壓不能維持自噴流壓時油井就要停噴。因此在油層壓力較高時, 生產壓差調節的範圍大, 油井流壓在含水很高時仍能維持在最低自噴流壓以上, 從而獲得較長的自噴期。反之, 當油層壓力不是很高時, 含水上升到一定程度時就會較早地停止自噴轉為抽油。
對於多層砂岩油藏恢復地層壓力不宜過快, 否則將會加快注入水單層突進和層間干擾。對於多層砂岩油藏的壓力恢復, 其恢復速度不宜過快。見水後, 油層壓力恢復過快,則表現為高滲透主力層的油層壓力急劇升高, 加劇了層間干擾, 加快含水上升。為避免這種不利的現象出現, 在恢復油層壓力時, 要特別搞好分層注水調整, 使各層的壓力大體上能夠同步提高。對於層間差異大的油藏, 應適當恢復慢一些; 而對油層比較單一、層間差異小的油藏, 則可以適當加快。多層砂岩油藏壓力的提高, 一般不宜超過原始地層壓力。否則, 易引起許多問題, 主要包括以下幾個方面:
(1) 進一步加劇了層間干擾。當油層壓力超過原始地層壓力後, 繼續提高注水壓力,這樣可能使滲透性較好的高壓層與滲透性較差的低壓層之間的壓差更加擴大, 層間干擾進一步加劇。
(2) 油水、油氣過渡帶原油外流造成儲量損失。當油層壓力超過原始地層壓力後, 必然會發生原油外流現象。
(3) 增大了老區鑽調整井的難度。由於地層壓力過高, 老區鑽調整井及井下作業的難度都大為增加。為了防止井噴, 鑽井液相對密度要增至1 . 7~2 . 0 , 不僅鑽井速度慢, 固井質量差, 而且使測井精度下降, 油層損害嚴重, 許多新井要壓裂才能投產。不僅如此, 鑽井及固井期間還有大批註水井要停注, 使老井產量下降, 甚至停噴。
(4) 注水壓力過高, 還會造成套管損壞的速度加快。
多層合採時, 合理降低生產井流動壓力, 不僅有利於提高單井產量, 而且還有利於減少層間干擾, 增加注入水波及體積, 改善開發效果, 但也要考慮油層條件的限制以及井底脫氣和抽油泵工作效率等因素的影響。要注意避免井間、區域間壓力分布不均衡所造成的不良後果。在油田開發實踐中經常可以看到, 雖然總體上看注采是平衡的, 壓力系統是合理的, 但由於油藏的非均質性, 常常造成縱向上各小層間、平面上各井之間、或區域間壓力分布的不均衡性, 不利於油藏的正常生產。這就要求我們不僅要從總體上把握注采的均衡性和壓力系統的合理性, 還要注意油藏各個局部的注采均衡和壓力系統的合理分布。
由於油井的採油方式和油藏壓力系統有著密不可分的關係, 油井採油方式的調整要從油藏整體考慮, 與油藏壓力系統的調整密切結合, 才能收到好的開發效果。
各種壓力合理界限確定
油井自噴生產時的流、靜壓測算
水驅開發油藏, 油井在生產過程中, 隨著含水率的上升, 井筒內流體密度增大, 使井底流壓上升。為了保持自噴開採階段穩定生產, 就必須逐步提高地層壓力, 保持一定的生產壓差。因此合理的壓力界限也是隨著開採階段的變化而變化。自噴開採階段的流動壓力與含水率的關係為:
p = a + bf
式中: p———流動壓力, MPa;
a———截距, 即不含水時的流動壓力, MPa ;
b———斜率, 即為含水每變化1%時的流壓變化率。
根據大多數油藏的開發經驗, 都可找出油井見水後的流動壓力隨含水率的變化規律,當流動壓力降低到某一數值時, 油井即出現停噴, 此壓力值即為最低自噴壓力, 流動壓力不應低於此值。
預測不同含水階段的地層壓力, 首先要計算出採油指數隨含水率的變化關係, 其經驗公式為:
合理注采壓力系統式中:
Jo ———含水率每上升1%採油指數下降的百分數;
f——含水率。
機械開採條件下油井最低流動壓力測算
水驅油藏全面轉注後, 如果井底壓力大大低於飽和壓力, 井底附近嚴重脫氣, 這將使油相的相對滲透率降低。由於井底附近自由氣量大, 當泵吸入口含氣量超過一定的界限,則造成泵效降低, 因此確定油井合理的流動壓力( 即最低流動壓力) 才能保持各種抽油泵在最佳的條件下工作。
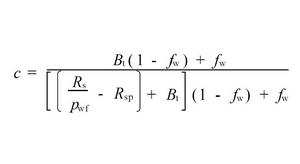
(1) 抽油泵充滿係數。當抽油井井底壓力低於飽和壓力時, 吸入泵筒的是油、氣、水三相的混合流體, 各種類型的泵要求充滿係數不低於0 . 7 , 即泵入口處自由氣量不超過流體總量的30%。泵筒處流體的充滿係數為:
合理注采壓力系統式中:
c———充滿係數;
B———泵入口的原油體積係數, 無因次量;
R———溶解係數, m/ (m·MPa )。
(2) 抽油泵泵效及沉沒度。抽油泵泵效的概念: 即使是抽油泵泵筒充滿了沒有自由氣的流體, 當采出地面脫出溶解氣後, 地下單位體積油的體積是原油體積係數的倒數, 這就是抽油泵的泵效。如果是有桿泵, 該泵效再乘以衝程利用率才是真正的泵效。三相流體的泵效可用下式計算:
合理注采壓力系統抽油泵的泵口壓力由下式求得:
合理注采壓力系統沉沒度為泵吸入口到動液面的高度, 保證要求泵效的沉沒度為:
合理注采壓力系統式中:
η———泵效;
p———泵口壓力, MPa ;
p ———套壓, MPa ;
ρ ———動液面以下泵口以上原油密度, g/ cm;
H———沉沒度。
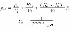
(3)抽油井最低流動壓力的測算。就是根據不同含水階段的泵口壓力、泵掛深度以及油層中部深度, 用逐次疊代法求得合理的井底壓力:
合理注采壓力系統式 中:
C———套管環形空間天然氣梯度校正係數;
ρ ———天然氣密度, g/ cm;
H———油層中部深度, m;
H ———泵掛深度, m;
ρ———動液面以下泵口以上液體平均密度, g/ cm;
F ———液體密度平均校正係數, 由液體密度校正曲線求得。
注水井最大流動壓力測算
注水井最大流動壓力主要受地面設備條件和儲油層岩石破裂壓力的限制。儲油層岩石破裂壓力一般在實驗室測定, 也可以用經驗公式近似計算, 作為注水井最高流動壓力的制約值。
(1) 威廉斯法
p= 0 . 023H+ (0 . 4274 C - α) p
(2) 迪基法
垂直裂縫壓力:
p= (0 . 016 ~ 0 . 0227) H
水平裂縫壓力:
p = CH
式中:
pi———注水井油層中部破裂壓力, MPa;
α———岩石破裂常數, 一般取0 . 0325~0 . 0493;
C———上覆岩石壓力梯度, 一般取0 . 0227~0 . 0247 MPa/ m。
注水井最高流動壓力, 一般不能超過岩石水平破裂壓力。
4 . 合理地層壓力界限
在井底流壓界限確定的條件下, 生產壓差大小取決於地層壓力的高低, 合理地層壓力首先應滿足達到一定產量所要求的生產壓差, 其次是地層壓力不低於飽和壓力。為了滿足第一個要求, 使其能達到一定的穩產油量, 首先要根據下式求出井底壓力低於飽和壓力時, 在油層內近井地帶出現油、氣、水三相流動狀況下, 油井採油指數隨含水的變化關係。
合理注采壓力系統式中:
η ———採油指數, t/ (d·MPa ) ;
η———油井不含水時, 井底壓力大於或等於飽和壓力時的採油指數, t/ ( d·MPa ) ;
p、p———飽和壓力和流動壓力, MPa;
α———與油層及原油性質有關的反映採油指數下降程度的係數, 1/ MPa;
f———油井含水率;
u———地層條件下注入水和采出油密度比和流度比係數。
有了不同含水階段的採油指數, 就可根據油井增產幅度( 與自噴生產相比) 的要求,計算出所需要的生產壓差。已知不同含水率、油井的合理流動壓力, 就可計算出不同含水率下, 不同增產幅度所需要保持的最低壓力水平。
油田高含水期開採方式轉為機械採油後, 地層壓力應保持在什麼水平上比較合理是一個受多因素影響的重大開發原則問題, 不同地區應區別對待。
要保持合理的地層壓力水平界限, 須確定合理的注采比以達到保持地層壓力的目的。
眾所周知, 隨著注入倍數的增加, 水驅油效率提高, 但注水倍數達到一定值後, 水驅油效率提高甚少或不提高。因此, 對水淹區、層( 指注水倍數高的) , 再大量的水洗已無益於提高水驅採收率和提高總體經濟效益, 對這樣的層、區就應採取弱化措施, 甚至停注。而對注水倍數低的層、區則要增加其波及體積、水洗程度, 以最大限度地增加其水驅採收率。在非均質嚴重的油層中, 注入水已在儲層中較低波及體積下發生竄流, 而在較高的注采比下注水, 其注入水的驅動壓差就會大大高於平衡注水下的驅動壓差, 必然加劇水在非均質儲層內的竄流, 由於高的滲流速度也不利於發揮毛細管力的作用把低滲透孔隙的原油排出, 另外也不利於發揮各油田不同程度存在的天然水體的驅油作用。針對多種地質模型作的數值模擬結果, 均已表明在較低( 低的程度將視具體油田地質條件而定) 的注采比下注水有利於控制含水上升速度和提高水驅採收率。
合理注水壓力
油田合理注水壓力的確定, 是注水開發油田至關重要的問題。注水壓力高還是低, 不是以注水壓力絕對值的高低來衡量的, 而是以油田開發是否需要和注水壓力梯度來衡量的。
1 . 合理注水強度
注水壓力高低首先是以達到油田需要的注水強度來衡量的。注水強度是指油層單位厚度的日注水量, 對一定的井網, 它一定程度上反映了採油速度的可能範圍。注水強度有沒有一個合理的範圍呢? 這至今是一個有爭議的問題。從理論上講, 提高注水強度對提高驅油效率有一定意義, 但是由於油層非均質, 各種矛盾存在, 甚至很突出, 注水強度是有一定範圍的。所以在油田開發過程中, 要使注水強度保持在合理範圍內, 就要選定合理的注水壓力來保證注水強度的合理性。
2 . 注入壓力對吸水剖面的影響注入壓力合理可以調整層間關係, 若不合理, 則會加劇層間矛盾。注水壓力應該是個從低壓注水到高壓注水的過程。
(1) 合理注水壓力可以增加吸水層位和吸水厚度, 調整層間矛盾, 改善開發效果。在多層合注的條件下, 在一定注水壓力範圍內, 注水壓力高低之間, 注水井吸水厚度是不同的。在注水壓力未引起油層原生裂縫張開, 未造成嚴重的層間干擾, 未使斷層蠕動之前,提高注水壓力有可能增加吸水層位和吸水厚度, 造成全井吸水能力隨注水壓力的提高成突變式的提高。
(2) 提高注水壓力可以調整層間關係。這一階段的注水壓力要高於上一階段, 只要注水壓力不超過一定的界限, 提高注水壓力可以提高高壓油層的吸水百分數, 一定程度上可以調整層間關係。但這是僅僅從注水井本身看到的結論, 結合油井, 按注采平衡的關係來分析, 可能會得到其他結果, 因此要具體分析:
① 高壓層若是注入量大於采出量, 提高壓力, 吸水率提高。但由於壓力傳導不出去, 結果是注水壓力再提高時, 吸水百分數又降下來了, 這種調整隻起到暫時的作用;
②高壓層若是注采基本平衡的層位, 吸水量增加, 油井內又可以相應的提高產液量的層位, 那么提高注水壓力, 確實起到調整層間關係的作用。
(3) 高壓注水條件下, 提高注水壓力, 將可能加劇層間矛盾。當注水壓力高於一定界限時, 由於層間干擾的結果, 往往是一、兩個層不但吸水量明顯增加, 而且該層所占全井吸水百分數也明顯增加, 造成另一些層吸水百分比下降, 甚至絕對吸水量也下降, 直至不吸水。層與層之間的差異明顯加大了, 吸水厚度減少了。
綜上所述, 可以看出注水壓力對吸水平面的影響可以分為3 個階段, 低壓階段提高注水壓力, 可能增加吸水厚度; 中壓階段提高注水壓力, 可以調整部分油層的層間關係, 也可能加劇部分層的層間關係; 高壓階段再提高注水壓力則會加劇層間矛盾甚至招到更壞的效果。
3 . 提高注水壓力的效果
提高注水壓力, 油層吸水量提高后, 經過一段時間的注水, 其變化趨勢大致有以下幾種。
第一種是效果保持不住。這種井層注水壓力提高后一段時間, 日注水量逐步降到原來的水平, 指示曲線上移, 啟動壓力提高, 反映了提高的壓力無法擴散, 效果保持不住。如果這時把井口壓力降到原來水平, 則會出現日注水量明顯下降, 甚至注不進去的情況, 反映這些層不應進行高壓注水。若要保持效果就要在油井壓裂該井的受效層, 才有可能使注水井效果保持得長些。
第二種是注水量提高后, 一直穩定下去。這反映了多注的水全部采出, 油井的產液能力與注水井的吸水能力比較起來, 原來是供不應求, 現在有好轉, 但是否滿足要求, 還需要認真分析。
第三種是壓力提高后, 注水量明顯增加, 隨著注水時間延長, 日注水量不但不降, 反而上升。
第四種是水量提高后, 隨著注水時間的延長開始下降, 降到一定水平基本穩住了, 而且穩在原來吸水量之上。
上述幾種情況都與油水井連通狀況及油井的生產狀況有密切的關係。第一種一般是注水井好, 油井差; 第二種是油井好, 注水井差; 第三種類似第二種, 但要加上油井工作制度在高壓注水見效後的進一步調整或進行過其他增產措施的影響; 第四種是介於第二、三種之間。
4 . 高壓注水的界限問題
提高注水壓力並不是無限的, 它受以下幾方面的限制。
(1) 注水壓力要以裂縫不張開為限, 尤其是延伸距離遠的裂縫, 否則可能出現水串現象。原生裂縫的開啟與注入壓力高低有關, 但更主要的是受壓差的影響。不同的地質條件應有不同的注水壓力選擇條件。在原生裂縫發育地區, 如構造軸部、斷層附近, 注水壓力是以不使張性裂縫張開為其界限, 其壓力高低要通過實驗確定。尤其是轉注初期或提高注水壓力時要採用階梯式升壓的辦法。在油層沒有原生裂縫地區, 注水壓力可以高些, 必要時可以高於垂直岩壓。對壓裂過的油層, 注水壓力應小於壓裂時替擠的壓力。對低滲透層尤其應該注意裂縫的開啟情況。
(2) 注水壓力應不使裂縫張開, 否則水竄入泥岩層, 造成泥岩膨脹, 損壞套管; 或以不造成斷層輕輕位移, 損壞套管為度。
(3) 保持合理的單井日注水量。
強化采液與最大產液量
當注水油田進入高含水期, 進一步強化油田開發過程是提高油田開發效果的重要途徑。注水開發過程中逐步提高排液量, 符合油田開發的科學原理, 是強化開採過程的重要方法。
1 . 油田生產能力變化規律
水驅開發油藏中油井的生產能力, 即採油、采液指數的變化與油層物性、流體性質以及生產條件有關。在不同的條件下, 油井的產油、產液能力差別可能很大, 但其變化具有一定的規律性。因此在注水開發過程中, 根據這些變化規律, 可以預測油田未來的開發狀況, 有針對性的調整層系井網和油水井配套措施, 來改善油田開發效果。
(1) 油井採油指數變化規律。採油指數是指單位壓差下油井的日產油量, 代表油井生產能力的大小。
(2) 油井采液指數變化規律。采液指數是指單位壓差下油井的日產液量, 代表油井產液能力的大小。
2.強化采液的方法
提高油田排液量的方法通常採用的是:
① 隨含水率上升, 對自噴井放大油嘴或轉抽,對抽油井調整抽油參數及小排量泵換為大排量泵等措施來降低油井井底壓力, 增大生產壓差, 使油藏中的驅油壓力梯度得以提高, 通過提高單井的排液量來提高整個油田的排液量;
②採用細分開發層系、加密井網等方法, 通過增加井數來提高油田排液量;
③對低滲透油層或污染油層, 採取酸化或壓裂等油層改造措施。
這些方法不僅有利於延長油田的高產穩產期, 也有利於提高油田的採收率。但是在提高油田排液量的同時, 若不注意提高注入水的利用率, 將使產水量大幅度增長, 而產油量增長有限, 有的還出現一口或幾口井大幅度提高排液量所增長的油量, 低於鄰近井因壓力下降帶來的產量下降。

