成份
羧甲司坦口服溶液本品主要成份為羧甲司坦,其化學名稱為:S-(羧甲基)-半胱氨酸。
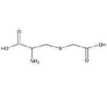
結構式:
分子式:CHNOS
分子量:179.19
本品中輔料為甘露醇、阿斯巴甜、薄荷香精。
性狀
本品為淺黃色或淺棕色的粘稠液體;味甜,氣香。
作用類別
本品為祛痰藥類非處方藥藥品。
適應症
用於治療慢性支氣管炎、支氣管哮喘等疾病引起的痰液粘稠、咳痰困難患者。
規格
10ml;0.5g
用法用量
口服,成人一次10毫升,一日3次。
不良反應
可見噁心、胃部不適、腹瀉、輕度頭痛以及皮疹等。
禁忌
消化道潰瘍活動期患者禁用。
注意事項
1. 用藥日後如症狀未緩解應立即就醫
2. 有消化道潰瘍史者慎用
3. 兒童用量請諮詢醫師或藥師
4. 孕婦、哺乳期婦女慎用
5. 對本品過敏者禁用,過敏體質者慎用
6. 本品性狀發生改變時禁止使用
7. 請將本品放在兒童不能接觸的地方
8. 兒童必須在成人監護下使用
9. 如正在使用其他藥品使用羧甲司坦口服溶液前請諮詢醫師或藥師
藥物相互作用
1.應避免同時服用強鎮咳藥以免痰液堵塞氣道
2. 如與其他藥物同時使用可能會發生藥物相互作用詳情請諮詢醫師或藥師
藥理毒理
本品為粘液調節劑主要作用於支氣管腺體的分泌使低粘度的唾液粘蛋白分泌增加高粘度的岩藻粘蛋白產生減少因而使痰液的粘稠性降低而易於咳出。
貯藏
遮光、密封,在涼暗處(避光並不超過20℃)保存。
包裝
直管玻璃瓶,每支10毫升。
有效期
18個月
執行標準
《中國藥典》2010年版二部

