基本信息:
中文名稱:羥乙纖維素
英文名稱:Hyetellose333
英文別名:Cellosize HEC; cellulose hydroxyethyl ether; cellulose 2-hydroxyethyl ether; cellulose hydroxyethylate; ethylhydroxy cellulose; ethylose; HEC; HE cellulose; hetastarch; 2-hydroxyethyl cellulose ether; hydroxyethylcellulosum; hydroxyethyl ether cellulose; hydroxyethyl starch; hyetellose; Natrosol; oxycellulose; Tylose H; Tylose PHA.
化學:Cellulose, 2-hydroxyethyl ether 纖維素,2-羥乙基醚
CAS註冊:9004-62-0
唯一成分標識(UNII):8136Y38GY5
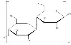
羥乙纖維素分子結構:
分子量:
USP32-NF27定義的羥乙纖維素為纖維素(羥乙基)醚的部分取代物。羥乙纖維素有不同的級別,各有不同的黏度和取代度。一些級別的羥乙纖維素由於結構修飾改善了其在水中的分散性。羥乙纖維素不同級別分別附以20℃時,2%(W/V)溶液的表觀黏度來表示,黏度單位為mPa·s,羥乙纖維素一般也加有適宜的防黏結劑[1] 。
功能與套用:
羥乙纖維素是非離子型水溶性聚合物材料,廣泛用於藥物製劑中。主要用作眼科製劑和局部用藥製劑的增稠劑,也可用作片劑的黏合劑和膜包衣材料。在乾眼、隱形眼鏡和口乾的潤滑劑中都含有羥乙纖維素。藥物處方中羥乙纖維素的使用濃度根據溶劑和使用的分子量級別不同而不同。羥乙纖維素也廣泛用於化妝品中 [1] 。
給藥途徑:
眼用;耳用;外用;口服[1] 。
穩定性和貯藏條件:
羥乙纖維素粉末易吸潮,但性質穩定。羥乙纖維素的水溶液在pH2~12的範圍內相對穩定,其溶液的黏度也無變化。在pH低於2時,由於水解,穩穩定性較差。在pH較高時可能發生氧化反應。 溫度升高,羥乙纖維素水溶液的黏度降低。但冷卻後,黏度可以恢復。羥乙纖維素水溶液可耐受冷凍-解凍,高溫貯藏,煮沸不會產生沉澱或凝膠。 羥乙纖維素易被酶降解而使其水溶液的黏度降低。在環境中存在的多種細菌和真菌都可催化這種降解酶。因此,羥乙纖維素水溶液長期放置需加入抑菌劑。羥乙纖維素水溶液可通過高壓滅菌。 羥乙纖維素粉末必須裝入密閉容器中並置於陰涼、乾燥處保存 [1] 。
安全:
羥乙纖維素主要用於眼科和局部用製劑。通常認為羥乙纖維素無毒、無刺激性。大鼠急性毒性和亞急性毒性試驗結果表明羥乙纖維素沒有毒性。羥乙纖維素在大鼠的胃腸道不被吸收,也不能被水解。雖然羥乙纖維素可用作口服藥物製劑的輔料,但其還沒被批准直接用於食品。 在口服藥物製劑和用於黏膜給藥的局部用藥製劑中,不得使用乙二醛處理的羥乙纖維素。羥乙纖維素也不得用於注射製劑 [1] 。
配伍禁忌:
羥乙纖維素在大部分的有機溶劑中不溶。與玉米蛋白不能配伍。可部分與下列水溶性化合物:酪蛋白、明膠、甲基纖維素、聚乙烯醇和澱粉配伍使用。羥乙纖維素可與許多水溶性抗菌防腐劑混合使用。但加入五氯苯酚鈉可使羥乙纖維素水溶液的黏度立即增加。羥乙纖維素對溶解的電解質相容性較好,雖然有些鹽溶液可使其析出。
例如,下列 可以使10%(W/V)的Cellosize WP-09 溶液及2%(W/V)的Cellosize WP -4400溶液沉降:硫酸鈉50%溶液和硫酸鋁的飽和溶液;硫酸銨;硫硫酸鉻;磷酸氫二鈉;硫酸鎂;亞鐵氰化鉀;硫酸鈉;亞硫酸鈉;硫代硫酸鈉和硫酸鋅。
商品Natrosol在大部分的10%鹽溶液(除了碳酸鈉和硫酸鈉)中溶解。在很多的50%的鹽溶液中溶解,但以下鹽溶液例外:硫酸鋁、硫酸銨、磷酸氫二銨、磷酸氫二鈉、氯化鐵、硫酸鎂、亞鐵氰化鉀、偏硼酸鈉、硝酸鈉、亞硫酸鈉、磷酸鈉及硫酸鋅。通常Natrosol 150 比 Natrosol 250 在鹽溶液中的相容性更好。 羥乙纖維素與一些螢光染料或螢光增白劑,以及季銨鹽消毒劑也有配伍禁忌,可以使水溶液的黏度增加[1] 。
來源與制:
將純化的纖維素與氫氧化鈉反應生成溶脹的纖維素鹼,其比未處理的纖維素更易反應,然後纖維素鹼與環氧乙烷反應生成一系列的羥乙纖維素。 環氧乙烷取代纖維素羥基的數量的表示方法有兩種:取代度(DS)和摩爾取代度(MS)。取代度表示脫水葡糖糖單元上與環氧乙烷反應的羥基數,所以最大的取代度為3。摩爾取代度為與每個葡糖糖單位發生反應的環氧乙烷摩爾數的平均值。一但羥乙基與葡糖糖酐單元相連線後,還可以通過末端-末端的連線進一步和更多的羥乙基反應。這種反應可以連續進行,在理論上摩爾取代度沒有限制[1] 。
管理情況:
以載入FDA《非活性組分指南》(用於眼科製劑、口服糖漿和片劑;耳用和局部用藥物製劑)。在英國已準許用於非注射製劑。 目前,雖然羥乙纖維素可以非直接接觸使用(如包裝材料),但在歐洲和美國還沒有批准用於食品。這主要受到羥乙纖維素製備過程中殘留的高濃度乙二醇的限制 [1] 。

