簡介
緻密度計算方法
緻密度公式比如體心立方晶格(BCC,body-centered cubic latticc):原子數是2,原子半徑是(√3/4)*a,晶胞體積是a^3;計算出的緻密度K=0.68。
比如面心立方晶格(F.C.C.晶格)
面心立方,金屬原子分布在立方體的八個角上和六個面的中心。面中心的原子與該面四個角上的原子緊靠。具有這種晶格的金屬有鋁(Al)、銅(Cu)、鎳(Ni)、金(Au)、銀(Ag)、γ-鐵(γ-Fe,912℃~1394℃)等。
面心立方的特徵是:
一、晶格常數:a=b=c,α=β=γ=90°
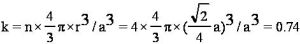
二、晶胞原子數:1/8×8+1/2×6=4(個)
三、原子半徑:γ原子=(√2/4)*a
四、配位數:12”
五、緻密度:0.74(74%)

