相關知識簡介
分數
分數(來自拉丁語,“破碎”)代表整體的一部分,或更一般地,任何數量相等的部分。 當在日常英語中說話時,分數描述了一定大小的部分,例如半數,八分之五,四分之三。 分子和分母也用於不常見的分數,包括複合分數,複數分數和混合數字。
分數表示一個數是另一個數的幾分之幾,或一個事件與所有事件的比例。把單位“1”平均分成若干份,表示這樣的一份或幾份的數叫分數。分子在上,分母在下。
最簡分數
分子、分母只有公因數1的分數叫做最簡分數或者說分子和分母是互質數的分數,叫做最簡分數,又稱既約分數。如:2/3,8/9,3/8等等。
最簡分數又叫既約分數,既約分數可理解成已經約分過的分數,也就是分子和分母是互質數的分數。
定義
把分數化成最簡分數的過程就叫約分。
例如a/b這是一個分數,a可以寫成c*d,b可以寫成c*e,那么a/b可以寫成d/e,因為有公因子c可以分子分母同時約掉。
步驟
1.將分子分母分解因數;
2.找出分子分母公因數;
3.消去非零公因數。
約分時,如果能很快看出分子和分母的最大公因數,直接用它們的最大公約數去除比較簡便。
約分方法
根據分數的基本性質:
“分數的分子和分母同時除以一個相同的數(0除外),分數的大小不變——分數的基本性質”來進行約分。
方法一:可以用分子和分母的公因數(1除外)去除
約分
約分
約分例: 則 就是最簡分數
像這樣,把一個分數化成和它相等,但分子和分母都比較小的分數叫做約分(一般要化成最簡分數)
方法二:直接用分數的分子和分母的最大公因數(1除外)去除
約分
約分例: 則就是最簡分數
小結: 一般用分子和分母的公因數(1除外)去除分數的分子和分母,通常要除到最簡分數為止。
示例
寫法:
約分(除過的數均劃掉,如本例中的6、12、30、15)
約分一定要注意找分子和分母它的公因數,不能只把分母化簡或者分子化簡,偶數的公因數肯定有2,所以你可以先除以2,再慢慢除,然後將你所有除的數相乘就是他們的最大公因數。
約分的歷史說法
中國古代《九章算術》中講到:
“約分,可半者半之。不可半者,副置分母、分子之數,以少減多,更相減損,求其等也。以等數約之。”
巧用差來約分
當一個分數的分子、分母都比較大時,往往一下子看不出該用幾去約分,有時可以利用分子和分母的差來約分。
約分
約分
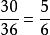
約分例如,把、、約分為最簡分數。
解答:
約分
約分
約分
約分對於,36與30的差是6,用6去除分子、分母,即、,所以6是分子、分母的最大公因數,。
約分
約分對於,95與57的差是38,經口算試除可知,38不是分子、分母的因數,再把38分解因數,即38=19 x 2,用19試除可知,19是分子、分母的因數,約分可得。
約分
約分對於來說,它的分子與分母相差很大,且差不是分子和分母的因數,再把差分解因數的話也很麻煩。這時我們不妨用大數減去若干個小數後所得的差去約分,即493一145 x 3=58,把58分解因數,58=29 x 2,再用29試除可知,29是分子、分母的因數,約分可得。

