簡介
等效電感值ESL (Equivalent Series Inductance )就是等效電感參數。和ESR(等效電阻)是電容的兩個參數。一隻電容器會因其構造而產生各種阻抗、感抗,比較重要的就是ESR等效串聯電阻及ESL等效串聯電感—這就是容抗的基礎。早期的卷制電容經常有很高的ESL,而且容量越大的電容,ESL一般也越大。ESL經常會成為ESR的一部分,並且ESL也會引發一些電路故障,比如串聯諧振等。但是相對容量來說,ESL的比例太小,出現問題的幾率很小,再加上電容製作工藝的進步,已經逐漸忽略ESL,而把ESR作為除容量之外的主要參考因素了。
等效電感及電機線性模型
等效電感值
等效電感值
等效電感值
等效電感值
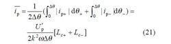
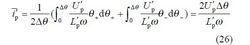
等效電感值令兩個電感電路電流的平均值相等,即ip = i¢p ,因此由式(21)、(26)可得等效電感
等效電感值採用等效電感和等效電流後,電樞迴路電壓方程與電機系統運動方程可表示為
等效電感值
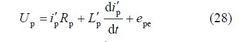
等效電感值由式(28)、(29)可得基於等效電感的電磁式雙凸極電機動態結構圖,如圖6 所示。圖中, p p l T¢ = L¢ R為相繞組電磁時間。
比較圖2、6 可見,採用等效電感後,電磁式雙凸極電機動態模型發生了三個變化:①電磁時間Tl¢變為常數;②避免出現反電勢磁阻分量epr;③電樞電流為等效直流電流。因此,雙凸極電機的動態結構圖大為簡化,與直流電機動態結構圖完全一樣,從而大大簡化了雙凸極電機系統的分析與控制設計。
等效電感建模過程可簡單總結如下:(1)首先由式(5)與(3)分別求取電感變化區間Dq與自感變化率k;(2)然後根據式(22)、(23)求取中間變數Lc+、Lc-;(3)再由式(27)計算等效電感L¢p ;即可構成式(28)、(29)或圖6 所示的雙凸極電機系統等效模型。
上述等效電感方法是基於圖2所示的分段線性電感曲線,若考慮磁路的非線性,即電感不僅隨角度變化,而且隨繞組電流大小變化,這時仍可採用該方法。具體方法是:將電感特性用分段線性曲線族表示,一個電流值對應一條分段線性電感曲線,對每條分段線性電感曲線求取等效電感,因此可得隨電流變化的等效電感曲線(單調變化),這時雖然較不考慮磁路非線性時複雜,但相對於同時考慮隨位置與電流變化的電感曲線而言,仍然大大簡化了仿真與控制設計。
相關研究
電感作為電路中最基本的元器件之一,不僅可以和電容構成選頻網路,也套用在無線電收發機的各個射頻模組(濾波器,低噪聲放大器,功率放大器,混頻器,壓控振盪器等)中,具有實現阻抗變換,反饋,調諧,濾波等功能。正是因為電感的作用非常大,套用十分廣泛,所以對電感的研究必不可少 。
而隨著積體電路越來越趨於微型化,電感的參數特徵使其在集成時的尺寸與品質因數無法滿足使用要求,因而人們研究有源電感來解決無源電感尺寸與品質因素方面的矛盾。所謂有源電感,就是利用有源器件,電阻和電容組成的有源網路來模擬電感。有源網路按工作原理的不同可以分為兩大類,反饋放大器類型和阻抗變換器類型。而對於有源電感的研究大部分都是基於阻抗變換器類型。
設計有源電感電路的關鍵是迴轉器 。理想迴轉器是一個二連線埠網路,具有倒逆特性。倒逆特性是可以把一個電容迴轉成一個電感或者把一個電感迴轉成電容的特性。當輸入為一正弦電壓,負載阻抗是一個電容元件時,迴轉器將電容迴轉成電感,稱為等效電感。
對2種典型電感電路進行理論計算,得到電路的等效電感,通過電路的等效電感及國家標準中的參考曲線得到的最小點燃電流值,與通過試驗得到的最小點燃電流進行對比,得出用計算電路等效電感的方法來對電路進行本安評定具有可操作性,從而對電路的本質安全性能進行無試驗評價。

