鐵心電感器的種類
電源濾波扼流圈
電源濾波扼流圈用於平滑整流後的直流成分,減小其波紋電壓,以滿足電子設備對直流電源的要求。
電源濾波扼流圈的主要技術指標為: 電感量、直流電壓降。電感量由所要求的波紋係數,在進行整流器和濾波器計算時確定;直流電壓降影響整流器輸出電壓和負載調整率。
通過電源濾波扼流圈線圈的電流包括直流和交流兩部分,並以直流電流為主要成分。在扼流圈鐵心中存在著交直流兩種磁化場,其中直流分量是主要部分。
根據濾波器的種類,電源濾波扼流圈可分為電感輸入式和電容輸入式兩種。電感輸入式濾波扼流圈具有較高的波紋電壓,鐵心中交流磁感應強度一般在0.1T以上;電容輸入式濾波扼流圈具有較低的波紋電壓,鐵心中交流磁感應強度一般在0.1T以下。
電源濾波扼流圈的電感量隨著直流磁化電流的增加而降低,這是由於隨著直流磁化電 流的增大,鐵心越來越達到飽和狀態。在扼流圈鐵心磁路中引入非磁性間隙可以減小電感 隨直流磁化電流增大而產生的下降量,對應於給定的直流磁化電流,具有一個最佳的非磁性間隙,相應於這個最佳間隙,電源濾波扼流圈可獲得最大的電感值。
交流扼流圈
交流扼流圈用於交流迴路中,作為平衡、鎮流、限流和濾波等感性元件來使用。
交流扼流圈工作於交流狀態,無直流磁化,類似於單線圈變壓器。其電磁過程與變壓 器的區別是: 在變壓器鐵心中的磁感應強度的確定取決於外施電壓,與實際的負載電流無 關;對大多數交流扼流圈來說,鐵心中磁感應強度的確定取決於負載電流,而與電路的外施電壓無關。
交流扼流圈的電感量隨交流磁場的變化而變化,而且是非線性的,只有在鐵心未達到飽和時,變化才近似線性,這時,電感隨交流磁場的增大而增大。在交流扼流圈鐵心中插入非磁性間隙將減小其電感量,但電感隨磁場的變化量也同時減小,因此變化非磁性間隙 的大小可調節電感值。當鐵心中非磁性間隙增大至一定值時,在磁場變化時,電感將基本保持不變,這時的交流扼流圈將具有線性的伏安特性。大多數交流扼流圈都具有接近於線 性的伏安特性。
交流扼流圈的主要技術指標是,在某一交流電流 (固定的或有一定變化範圍的)作用 下的電感值。對某些工作於高頻的交流扼流圈,品質因數Q也是一個重要的技術指標。
電感線圈
電感線圈多數用於高頻電路中,如濾波器用電感線圈,振盪迴路電感線圈,陷波器線圈,高頻扼流圈,匹配線圈,噪聲濾波線圈等。多數電感線圈工作於交流狀態,因此,它 屬於交流扼流圈範疇,是交流扼流圈的一個分支。
電感線圈的鐵心以鐵氧體磁芯使用最多,也有採用鉬坡莫粉末磁芯,鐵粉芯,鋁矽鐵粉芯,非晶或超微晶粉末磁芯及精密軟磁合金等。
電感線圈的主要技術指標為電感量和品質因數。在某些場合,對電感的溫度穩定性也 有一定的要求。
飽和扼流圈
飽和扼流圈用於穩定和調壓線路中,通過調節電路中的感抗來達到穩定或調節電壓的 目的。飽和扼流圈至少有兩個繞組,一個繞組(工作繞組) 接入調節交流電路,另一個繞 組(控制繞組) 接入直流電路。和電源濾波扼流圈及交流扼流圈不同,飽和扼流圈鐵心應 是無氣隙的。
飽和扼流圈鐵心中存在著交直流兩種磁化狀態,而且交流成分很大,由於鐵心磁化曲 線的非線性,工作繞組中電流波形是失真的,這在接近鐵心飽和時特別明顯。
飽和扼流圈的主要技術指標是: 電感量調節範圍或輸出電壓調節範圍,負載功率的最 大值與最小值,控制電流(功率) 的最大值與最小值,功率因數最小值等。
由於可控矽調壓裝置、磁性調壓器、可調穩壓變壓器的技術發展,飽和扼流圈套用范 圍逐步縮小,只有在大功率或特殊要求場合才使用,為此,本手冊將不加詳述 。
鐵心電感器電感量計算
基本計算式
鐵心電感
鐵心電感鐵心電感器線圈中通以交流電流後,所產生的磁通分為兩部分: 一部分是通過鐵心磁 路(包括在鐵心磁路中插入非磁性氣隙) 的主磁通,另一部分是通過線圈與鐵心柱間空隙 的漏磁通。根據電感的基本定義,我們將主磁通產生的電感稱為主電感 ,將漏磁通產生 的電感稱為漏電感 。鐵心電感器的電感量L1應為這兩部分電感之和,即
鐵心電感
鐵心電感在多數情況下, ,故
鐵心電感除特殊情況,一般只需計算其主電感。
鐵心中無氣隙時的電感計算
鐵心電感器鐵心中無氣隙時,其漏電感可忽略不計,電感量按下式計算
鐵心電感式中:L——電感量(H);
鐵心電感——鐵心交流磁導率;
N——線圈匝數;
鐵心電感——鐵心有效截面積(cm );
鐵心電感——鐵心平均磁路長度 (cm)。
鐵心電感
鐵心電感
鐵心電感鐵心交流磁導率 隨鐵心材料、鐵心型式(尺寸)、工作磁感應強度 或磁場強度 及工作頻率f而變化。如圖1所示為鐵心材料採用1J79坡莫合金、厚0.2mm的XE5 鐵心在不同磁感應強度下的磁導率曲線。對一些電阻率很高的磁性材料,如鐵氧體磁芯, 其磁導率在其允許工作頻率範圍內不隨頻率而變,如圖2所示。而對於粉末磁芯,如 鉬坡莫合金、鋁矽鐵粉芯、羰基鐵心等,在其允許的工作頻率和磁場範圍內,其磁導率基 本是恆定的。
由此可見,正確地確定鐵心的磁導率是電感計算的基礎。
圖1 XE5型鐵心磁導率曲線
圖2 R2K鐵氧體EE型磁芯磁導率曲線
鐵心電感交流磁導率 可通過測試不同磁性材料和型式的鐵心在不同磁場強度 (或磁感應強度)、不同頻率下的電感量L後,按下式算得
鐵心電感鐵心中有氣隙時的電感計算
鐵心電感器中有氣隙時,當忽略其漏電感,其電感量按下式計算
鐵心電感
鐵心電感式中: ——鐵心磁路中非磁性氣隙長度(cm)。式(3) 又可改寫為
鐵心電感
鐵心電感式中: ——鐵心的有效磁導率,按下式計算
鐵心電感
鐵心電感當 時,式 (3) 具有足夠的計算精度。
鐵心電感當 時,由於氣隙磁通邊緣擴散現 象(見圖3),使氣隙的導磁面積增大,氣隙 的有效長度變短。為此必須計算氣隙邊緣磁通的影響。
圖3 氣隙磁通的擴散現象
鐵心電感考慮氣隙磁通擴散後,氣隙導磁面積 可按 下式近似計算
鐵心電感氣隙的有效長度為
鐵心電感
鐵心電感式中: ——考慮氣隙磁通擴散後的氣隙有效長度(cm);
鐵心電感——鐵心磁路中實際的氣隙長度 (cm);
鐵心電感——鐵心有效截面積(cm2);
鐵心電感——考慮氣隙磁通擴散後氣隙導磁面積(cm )。
鐵心電感
鐵心電感此時,在按式(3)計算電感或按式(5)計算有效磁導率時,將 代替上述式中的 。
大氣隙電感計算
鐵心電感當 時,由於氣隙磁阻決定了鐵心磁路中的整個磁阻,故電感量主要取決於 氣隙長度。
1. 當忽略漏電感時的電感計算
鐵心電感
鐵心電感式中: ——考慮氣隙磁通擴散後的氣隙有效長度(cm)。
2. 考慮漏電感影響時的電感計算
鐵心電感當漏電感不能忽略時,必須按以下公式計算漏電感 。
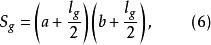
(1) 殼式或單線圈心式鐵心電感器(見圖4) 漏電感按下式計算
鐵心電感
鐵心電感式中: ——漏電感 (H);
N——電感器線圈匝數;
鐵心電感——線圈繞線寬度 (cm);
鐵心電感——洛氏係數;
鐵心電感——線圈漏磁等效面積(cm )。
鐵心電感洛氏係數 按下式計算
鐵心電感
鐵心電感式中: ——線圈總厚度(不包括內外層絕緣) (cm);
鐵心電感——線圈與鐵心之間隙(cm)。
鐵心電感線圈漏磁等效面積 按下式計算
鐵心電感
鐵心電感式中: ——線圈平均匝長(cm)。
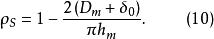
(2) 雙線圈式鐵心電感器(見圖5) 漏電感按下式計算
鐵心電感
圖4 殼式和單線圈心式鐵心的漏感
圖5 雙線圈心式鐵心的漏感
鐵心電感
鐵心電感
鐵心電感式中, 與 的計算可按式(10)和式(11),但其中的 指每一個線圈的厚度 。
鐵心電感鐵心電感器的主電感 按式(8)進行計算。
鐵心電感器的電感L為
鐵心電感
