基本概念
等容過程定義
等容過程(Isochroic process)體系在體積保持不變的情況下進行的物理或化學過程。如內燃機氣缸內燃料的燃燒過程、密閉而堅固的容器中進行的化學反應等,都可視為等容過程。理想氣體等容過程的特徵是壓力與絕對溫度成正比。
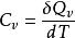
等容熱容定義
等容熱容(Heat capacity at constant volume)一摩爾某物質在等容條件下溫度由T升到T+dT所吸收的熱量,即
等容熱容等壓熱容與等容熱容的關係
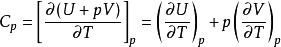
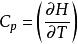
已知:C——等壓熱容;H——系統的焓;U——系統的內能。
利用熱力學第一定律推導等壓熱容和等比熱容的關係,根據定義
等容熱容
等容熱容所以
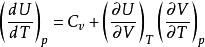
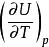
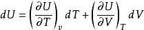
等容熱容假定U=f(T,V),對U全微分得
等容熱容
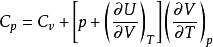
等容熱容因為在實際中經常所需要的是,所以對T求導並規定恆壓這一條件,得
等容熱容進行聯立,可得
等容熱容在上述推導過程中,沒有引進任何近似條件,因此上式是一般式,適用於任何均相體系中的C與C的關係。

