定義
單位質量的物質在定壓的條件下溫度升高1K時比熱力學能增加的數值。比熱力學能使物質的狀態參數,因此,定壓比熱容也是僅和物質狀態有關的熱力學參數。
表達式
比熱容就是單位質量物質的熱容,又稱為質量熱容,是描述物質性質的重要熱力學參數之一,其實驗數據在熱力學分析中得到非常廣泛的套用。
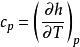
按照比熱容的定義,在可逆過程中,可得到比定壓熱容的表示式為 :
比定壓熱容
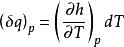
比定壓熱容根據熱力學第一定律的能量方程式及比焓的全微分關係式,在可逆過程中有
比定壓熱容
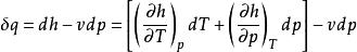
比定壓熱容在定壓過程中,dp=0,由上式得:,代入比定壓熱容的表示式可得:
理想氣體的比定壓熱容
理想氣體的比定壓熱容可表示為:
比定壓熱容即在任何過程中,單位質量的理想氣體的溫度升高1K時比熱力學能增加的數值等於其比定壓熱容的值,而比焓增加的數值即等於其比定壓熱容的值。

