簡介
工程上使用的加熱器、冷卻器、燃燒器、鍋爐等很多熱設備是在接近定壓的情況下工作,多變指數n=0的可逆多變過程即是實際定壓過程的理想化。定壓過程中由於壓力不變,其技術功值為零,表明工質定壓穩定流過諸如換熱器等設備時,不對外作技術功,即熱能轉化來的機械能全部用來維持工質流動。任何一個過程的焓變化量都和溫度變化相同的定容過程的焓變化量相等。其過程方程式為 :
p=定值,p=p
定壓過程據p=定值和可確定初、終態參數的關係 :
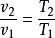
定壓過程即定壓過程中氣體的比體積與熱力學溫度成正比。
p-v圖及T-s圖
等壓過程線如圖1所示。定壓過程線在p-v圖上是一條水平的直線;在T-s圖上則是一條曲線,取定值比熱容時定壓過程也近似為對數曲線,當定壓線的斜率比定容線更為平坦些。
圖1 定壓過程的p-v圖及T-s圖相關計算
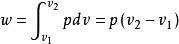
由於p=定值,定壓過程的過程功為 :
定壓過程對於理想氣體,定壓過程的過程功可進一步表示為 :
定壓過程上式表明:理想氣體的氣體常數R數值上等於1kg氣體在定壓過程中溫度升高1K所作的膨脹功。
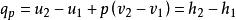
過程熱量可根據熱力學第一定律第一解析式得出 :
定壓過程即任何工質在定壓過程中吸入的熱量等於焓增,或放出的熱量等於焓降。定壓過程的熱量或焓差還可藉助於定壓熱容計算,即 :
定壓過程套用
活塞式內燃機的定壓加熱理想循環
定壓加熱的內可逆理想循環又稱狄賽爾循環,其p-v圖和T-s圖如圖2所示。其中1-2是定熵壓縮過程,2-3是定壓過程,3-4是定熵膨脹過程,4-1是電容放熱過程。定壓過程理想循環效率隨壓縮比的增大而提高;隨預脹比的增大而降低。
圖2 狄賽爾循環的p-v圖和T-s圖燃氣輪機裝置定壓加熱理想循環
引用空氣標準假設,燃氣輪機裝置工作循環可以簡化成由四個可逆過程組成的理想循環,如圖3所示。其中,1-2為絕熱壓縮過程;2-3是定壓加熱過程;3-4是絕熱膨脹過程;4-1是定壓放熱過程。這個循環稱為定壓加熱的理想循環,又稱布雷頓循環。
圖3(a)布雷頓循環的p-v圖
圖3(b) 布雷頓循環的T-s圖定壓加熱理想循環的熱效率取決於壓氣機中絕熱壓縮的初態溫度和終態溫度,或者說主要取決於循環增壓比,且隨循環增壓比的增大而提高,此外也和工質的絕熱指數的數值有關,而與循環增溫比無關。
對於熱能動力裝置,除了要求效率高,還希望單位質量的工質在循環中所作的淨功(也稱比循環功)越大越好,對於某些場合,如航空、艦船等,後一指標尤為重要。
在定壓加熱理想循環中當循環增溫比一定時,隨著循環增壓比的提高,單位質量的工質在循環中輸出的淨功並不是越來越大,而是存在一個最佳增壓比,使循環的淨功輸出為最大。
