多變過程簡介
四種典型熱力過程:定容過程、定壓過程、定溫過程、絕熱過程,在過程進行時有一個狀態參數保持不變。但是,實際能量轉換裝置所進行的熱力過程中,工質的狀態參數或多或少都要產生變化,而且也難以完全絕熱,即為多變過程。因此,熱力過程分析時要根據具體情況,採用適當的過程方程式。
例如,活塞式壓氣機中氣體被壓縮,同時被冷卻,因而壓縮過程中氣體的壓力、比體積及溫度都在變化,並且氣體與外界有功量和熱量的交換。
過程方程式
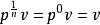
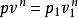
多變過程在一般的實際過程中,氣體的狀態變化往往遵循一定的規律。此時,過程方程式可通過實驗,測定過程中一些狀態點的p、v值而近似整理成 =常量的形式。這樣的過程稱為 多變過程,式中指數n叫作 多變指數,可以為任意常數。
在某一多變過程中,n為一定值,但不同多變過程的n值各不相同。對複雜的實際過程,可把實際過程分作幾段不同多變指數的多變過程來描述,但每一段中的n值保持不變。由此可見,多變過程是一些有規律的過程的總稱。這些過程的特徵是:在整個過程中,pv=定值,n為常數。
多變過程中的多變指數n具有不同數值時,過程就表現出不同的特性。前面所述的定壓、定溫、絕熱和定容四種典型熱力過程,可視為多變過程的特例之一。
公式解析
多變過程當n=0時, =p=常量,即為定壓過程;
多變過程當n=1時, =常量,即為定溫過程;
多變過程
多變過程當n= 無窮時, =常量,即為定容過程;
多變過程當n=k時, =常量,即為絕熱過程。
過程的表示
多變過程在p-v圖和T-s圖上表示如圖為通過同一狀態1的四種典型過程在p-v圖和T-s圖上的相對位置,說明隨著n的變化,多變過程在圖上的位置也發生變化。

