簡介
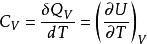
對於組成不變的均相封閉體系,不考慮非膨脹功,設體系吸熱Q,溫度從T升高到T,則恆容熱容 :
恆容熱容
恆容熱容恆容熱容和恆壓熱容
定義
熱容的標準定義是:“當一系統由於加給一微小的熱量δQ而溫度升高dT時,δQ/dT 這個量即是該系統的熱容。”(GB3102.4-93),通常以符號C表示,單位J/K。
作為某種物質的物理性質之一,該物質的比熱容是指當單位質量該物質吸收或放出熱量引起溫度升高或降低時,溫度每升高1K所吸收的熱量或每降低1K所放出的熱量,通常以符號c表示,單位J/kg.K。
分類
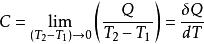
熱容是一個廣度量(廣延量),如果升溫是在體積不變條件下進行,該熱容稱為等容熱容,如果升溫是在壓強不變條件下進行,該熱容稱為等壓熱容。單位質量物體的熱容稱為比熱容。設物體的溫度由T1K升高至T2K時吸熱為Q,則Q/(T2-T1)稱為T1至T2溫度間隔內的平均熱容(average heat capacity)。
由於物體在不同溫度時升高1K所需熱不同,因此在某一溫度T時物體的熱容C的嚴格定義是
恆容熱容lim代表T2趨近於T1的極限,δQ表示無限小量熱比區別於狀態函式的全微如dT。
物體在某一過程中,每升高(或降低)單位溫度時從外界吸收(或放出)的熱量。如傳遞的熱量為 Δ Q溫度改變Δ T時,物體在該過程中的熱容 C被定義為
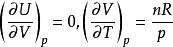
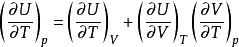
恆容熱容其單位為 J/K。熱容同物質的性質、所處的狀態及傳遞熱量的過程有關,並同物質系統的質量成正比。可見,必須指明系統所經歷的過程,熱容才具有確定的值。熱容隨過程的不同而不同,它不是狀態函式。對於一般的流體系統,如氣體、液體,在實際問題中經常用到的是系統在等壓過程和等容過程的熱容,分別稱為定壓熱容 C
恆容熱容和定容熱容 Cv。
恆容熱容對實際氣體和液體來說,定壓熱容不僅同溫度有關,還同所處的壓強有關,因而 C隨溫度 T、壓強 p而變化。與此相似, Cv隨溫度 T、體積 V而變化。當 p或 V一定時,熱容將只隨溫度變化。以水為例,在標準大氣壓下,1克水溫度在 0~100°C之間其定壓熱容隨溫度的變化如下圖所示。
恆容熱容套用熱力學第一定律和熱力學態函式,還可將 C和 Cv表示為如下的常用形式
恆容熱容
恆容熱容式中 H和 U為系統的態函式焓和內能。 C和 Cv均可由實驗測出,因為實驗裝置中固定壓強較為容易,所以通常測量的是定壓熱容,而定容熱容是通過測量等壓膨脹係數 α及等溫壓縮係數 k,利用關係
恆容熱容而得到( V為物體的體積, T為熱力學溫度)。對氣體來說,還可測量出 C和 Cv的比值γ,套用γ= C/ Cv,計算得到 Cv。
熱容與溫度的關係
熱容與溫度的函式關係因物質、物態和溫度區間的不同而有不同的形式。例如,氣體的等壓摩爾熱容與T的關係有如下經驗式:
恆容熱容
恆容熱容或。
式中a,b,c,c’,... 是經驗常數,由各種物質本身的特性決定,可從熱力學數據表中查找。
性質
氣體的Cp恆大於Cv。對於理想氣體:
恆容熱容
恆容熱容因為等容過程中,升高溫度,體系所吸的熱全部用來增加熱力學能;而等壓過程中,所吸的熱除增加熱力學能外,還要多吸一點熱量用來對外做膨脹功,所以氣體的Cp恆大於Cv 。
恆容熱容
恆容熱容
恆容熱容根據複合函式的偏微商公式:
恆容熱容代入上式,得:
恆容熱容對理想氣體,
恆容熱容
恆容熱容故
