影響因素
對某一特定的單體對,隨著聚合反應類型不同, 其r1和r2值可以有很大的差別。如苯乙烯(M1)和甲基丙烯酸甲酯(M2)在60℃進行自由基聚合時,r1=0.52,r2=0.46;在20℃用SnCl4為引發劑進行正離子聚合時,r1=10.5,r2=0.1;在-30℃用NaNH2為引發劑進行負離子聚合時,r1=0.12,r2=6.4。在自由基共聚合中,影響競聚率的因素有溫度、壓力、溶劑等。由於自由基共聚的鏈增長活化能低, 所以溫度對競聚率影響很小,例如, 苯乙烯(M1)和甲基丙烯酸甲酯(M2)在60℃共聚時,r1=0.52,r2=0.46;在131℃共聚時,r1=0.59,r2=0.54。壓力對競聚率的影響一般遵循以下規律,即隨壓力增大共聚體系的r1r2乘積逐漸趨近於1。隨著競聚率測定方法的精確度的提高,發現溶劑對競聚率也有一定影響,其機理尚待深入研究。關於介質對競聚率的影響也有報導,例如體系pH值的變化以及體系中加入某些金屬鹽類也會使某些體系的競聚率發生變化。至於因聚合反應實施方法的不同所引起的競聚率變化,有時看來似乎很大,但這種變化並不是由於競聚率數值發生了改變,而是單體在局部反應區域的濃度不等於原料單體的巨觀濃度引起的,這種情況在實際合成共聚物時應予以重視。
在離子型共聚中,影響競聚率的主要因素有引發劑和反離子的種類、溶劑、溫度等,它們的影響有時相當大(見離子型聚合)。
Q-e方程
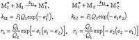
J.Jr.艾爾弗雷和C.C.普賴斯提出了表示單體共聚特性的Q-e方程,在這個方程中,每一種單體有它自己的特徵常數。假設P1和P2分別代表M壒和M壗的共軛因子(表示共軛效應的大小),Q1和Q2分別代表M1和M2的共軛因子,e1和e2分別代表M1及其相應自由基和M2及其相應自由基的極性因子(表示極性效應的大小),可以得到以下方程:
這一方程將二元共聚中單體競聚率和兩單體及其自由基的兩個基本參數聯繫起來了,這樣就可以預測兩種單體共聚時的競聚率,也更容易找到單體的分子結構和共聚活性之間的關係。他們將苯乙烯的兩個參數定為Q=1,e=-0.80,再根據實驗測出的共聚體系的競聚率計算出不同單體的Q和e值,
並用它們來預測其他共聚體系的r1和r2值。
實驗證明,用Q-e方程能夠較好地預測大部分單體在共聚合中的特性,但對取代基空間阻礙大的單體來說,其誤差較大;也可以比較概括地用單體的Q、e值分布來理解聚合反應中的共軛效應和極性效應。

