定義
由立體像對左右兩影像的內、外方位元素和同名像點的影像坐標測量值來確定該點的物方空間坐標(某一暫定三維坐標系裡的坐標或地面測量坐標系坐標),稱為立體像對的空間前方交會。
基本公式
點投影係數法
空間前方交會由圖可以看出,模型點相對於左方投影中心為原點的模型坐標為:
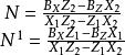
空間前方交會由上式中的(1)式和(3)式求得點投影係數:
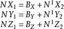
空間前方交會在相對定向中上式的運算都是由像點坐標 x,y,x,y和相對定向元素來計算的。
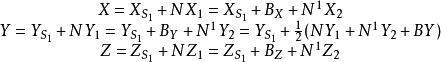
如果用左、右影像的外方位元素來計算,則
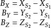
空間前方交會由左、右影像的外方位角元素 φ,ω,κ和 φ,ω,κ計算相應的正交矩陣 R,R,則
空間前方交會
空間前方交會這時的 N,N表示將坐像點和右像點投影到地面上的點投影係數。
任意一點的地面坐標(地面攝測坐標)可由下式求得:
空間前方交會嚴密解法
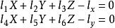
共線方程決定了攝影中心點、像點和物點間嚴格的關係。由共線方程可得:
空間前方交會整理可得:
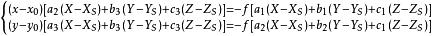
空間前方交會對左、右影像上的一對同名點,可以列出4個上述的線性方程,而未知數個數為3,故可以用最小二乘法求解。若n幅影像中含有同一空間點,則可由總共2n個線性方程解求X,Y,Z 3個未知數。這是一種嚴格的、不受影像數約束的空間建前方交會方法,由於是解線性方程組,故也不需要空間坐標的初值。
用途
首先通過單像空間後方交會求得的外方位元素,再通過空間前方交會求出待定點的物方空間坐標(雙像解析攝影測量)。
