基本定律
單位時間內通過單位截面積所傳導的熱量,正比於當地垂直於截面方向上的溫度變化率。即:
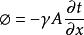
穩態傳熱式中
穩態傳熱——單位時間內傳導的熱量;
穩態傳熱——比例常數;
穩態傳熱——垂直截面面積;
穩態傳熱——是垂直於面積A的坐標軸;
穩態傳熱——時間。
這就是傳熱基本定律即傅立葉傳熱定律。
傳熱機理
1、氣體:傳熱是氣體分子不規則熱運動時相互碰撞的結果,溫度升高,動能增大,不同能量水平的分子相互碰撞,使熱能從高溫傳到低溫處。
2、導電固體:其中有許多自由電子,它們在晶格之間像氣體分子那樣運動。自由電子的運動在導電固體的傳熱中起主導作用。
3、非導電固體:傳熱是通過晶格結構的振動所產生的彈性波來實現的,即原子、分子在其平衡位置附近的振動來實現的。
4、液體的傳熱機理存在兩種不同的觀點:
第一種觀點類似於氣體,只是複雜些,因液體分子的間距較近,分子間的作用力對碰撞的影響比氣體大;
第二種觀點類似於非導電固體,主要依靠彈性波(晶格的振動,原子、分子在其平衡位置附近的振動產生的)的作用。
特點
1、物體之間不發生巨觀相對位移。
2、依靠微觀粒子(分子、原子、電子等)的無規則熱運動。
3、是物質的固有本質。
溫度場
溫度場是指在各個時刻物體內各點溫度分布的總稱。由傅立葉定律知,物體的溫度分布是坐標和時間的函式:
穩態傳熱
穩態傳熱
穩態傳熱式中為空間坐標,為時間坐標。
穩態溫度場是在穩態條件下物體各點的溫度分布不隨時間的改變而變化的溫度場,即設備或裝置穩定運行過程中,溫度僅為空間坐標的函式,不隨時間而變。
數學描寫
(1)對於一維傳熱問題,根據傅立葉定律積分,可獲得用兩側溫差表示的傳熱量。
(2)對於多維傳熱問題,首先獲得溫度場的分布函式,然後根據傅立葉定律求得空間各點的熱流密度矢量。

