穆斯堡爾效應內容詮釋
一般來說,伽瑪射線是由核轉變:從一個不穩定的高能量狀態,以一個穩定的低能量狀態。能源發出的伽瑪射線對應的能量核的過渡,再減去一些能源,是失去反衝的發光原子。如果失去了“反衝能量”是比較小的能源線寬核的過渡,那么,伽瑪射線能量仍相當於能量的核過渡和伽瑪射線可由第二個原子的同一類型第一。這以後的排放量和吸收被稱為共鳴。附加反衝能量也失去了在吸收,所以為了使共振發生的反衝能量必須實際上是不到一半的線寬為相應的核過渡。
從能源總量中的反衝機構可以找到動量守恆:
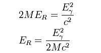
穆斯堡爾效應其中pR是的反衝勢頭的問題,和Pγ的伽瑪射線勢頭。替代能源的方程為:
穆斯堡爾效應其中ER是能源損失反衝,γ是能量的伽瑪射線,M是質量的排放或吸收的身體,c是光速的速度。因此大規模很小,如氣體的排放和吸收機構的原子,造成大量能源反衝,防止共振。(請注意,同樣的方程適用於反衝能量損失在X射線,但光子能量要小得多,從而降低能量損失,這就是為什麼氣相共振可以看到X射線。)
作為一個整體反衝但反衝能源是微不足道的,因為M在上述方程的質量整體晶格。然而,能源的衰變可以採取的行動(或提供)晶格振動。能源這些振動單位稱為聲。
發現過程
理論上,當一個原子核由激發態躍遷到基態,發出一個γ射線光子。當這個光子遇到另一個同樣的原子核時,就能夠被共振吸收。但是實際情況中,處於自由狀態的原子核要實現上述過程是困難的。因為原子核在放出一個光子的時候,自身也具有了一個反衝動量,這個反衝動量會使光子的能量減少。同樣原理,吸收光子的原子核光子由於反衝效應,吸收的光子能量會有所增大。這樣造成相同原子核的發射譜和吸收譜有一定差異,所以自由的原子核很難實現共振吸收。迄今為止,人們還沒有在氣體和不太粘稠的液體中觀察到穆斯堡爾效應。
穆斯堡爾穆斯堡爾使用191Os(鋨)晶體作γ射線放射源,用191Ir(銥)晶體作吸收體,於1958年首次在實驗上實現了原子核的無反衝共振吸收。為減少熱運動對結果的影響,放射源和吸收源都冷卻到88K。放射源安裝在一個轉盤上,可以相對吸收體作前後運動,用都卜勒效應調節γ射線的能量。191Os經過β-衰變成為191Ir的激發態,191Ir的激發態可以發出能量為129 keV的γ射線,被吸收體吸收。實驗發現,當轉盤不動,即相對速度為0時共振吸收最強,並且吸收譜線的寬度很窄,每秒幾厘米的速度就足以破壞共振。除了191Ir外,穆斯堡爾還觀察到了187Re、177Hf、166Er等原子核的無反衝共振吸收。由於這些工作,穆斯堡爾被授予1961年的諾貝爾物理學獎。
發生原因
穆斯堡爾光譜儀一般(取決於半衰期衰變),伽瑪射線有非常狹隘的線寬。這意味著他們是非常敏感的小變化,能量的核過渡。事實上,γ射線可以用來作為探針觀察相互作用及其核電子和它的鄰居。這是基礎,穆斯堡爾譜,它結合了穆斯堡爾效應的都卜勒效應來監測這種相互作用。
零聲光轉換,這個過程類似於密切的穆斯堡爾效應,可以看到晶格方向發色團在低溫條件下。
實際套用
粒子躍遷實驗條件
奇怪的穆斯堡爾效應穆斯堡爾譜的寬度非常窄,因此具有極高的能量分辨本領。例如57Fe的 14.4 keV 躍遷,穆斯堡爾譜寬度與γ射線的能量之比ΔE/E~10-13,67Zn的 93.3 keV 躍遷ΔE/E~10-15,107Ag的93 keV 躍遷ΔE/E~10-22。因此穆斯堡爾效應一經發現就在各種精密頻差測量中得到廣泛套用。
實驗套用
引力紅移引力引起的紅移量一般小於10-10數量級,歷史上套用穆斯堡爾效應首先對其進行了精密測量。相對論預言,由於地球上不同高度引力勢能不同,會引起光子離開地球時在不同高度的頻率不同,相差20米帶來的頻率測量變化為2×10-15。1960年,龐德和里布卡利用穆斯堡爾效應測量到了這個微小的變化。
驗證麥可遜-莫雷實驗
1970年,伊薩克(G.R.Isaak)利用穆斯堡爾效應測量了地球相對於以太的速度。實驗測得此速度的上限為5×10-5 km/s,基本證實了不存在地球相對於以太的運動。

