名稱
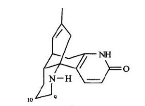
【產品名稱】石杉鹼乙【英文名稱】Huperzine B
【別名】HuperzineB; 12-Methyl-2,3,4,4a,5,6-hexahydro-1H-5,10b-prop[1]eno-1,7-phenanthrolin-8(7H)-one; (4aR,5S,10bR)-12-methyl-2,3,4,4a,5,6-hexahydro-1H-5,10b-prop[1]eno-1,7-phenanthrolin-8(7H)-one
【分 子 式】C16H20N2O
【分 子 量】256.3428
【C A S 號】103548-82-9
【化學分類】Alkaloids生物鹼類
物化性質
密度: 1.21g/cm3沸點: 533.5°C at 760 mmHg
閃點: 216.4°C
蒸汽壓: 1.84E-11mmHg at 25°C
InChI: InChI=1/C16H20N2O/c1-10-7-11-8-14-13(4-5-15(19)18-14)16(9-10)12(11)3-2-6-17-16/h4-5,7,11-12,17H,2-3,6,8-9H2,1H3,(H,18,19)/t11-,12+,16-/m0/s1
來源
【來 源】石杉科植物千層塔Huperzina serrata(Thumb.)Trev【規 格】>99%
【性狀】white powder
【藥理作用】抑制膽鹼酯酶活性和提高學習、記憶效率的功能。

