介紹
向量(英語: vector,物理、工程等也稱作 矢量)是數學、物理學和工程科學等多個自然科學中的基本概念,指一個同時具有大小和方向,且滿足平行四邊形法則的幾何對象。一般地,同時滿足具有大小和方向兩個性質的幾何對象即可認為是向量(特別地,電流屬既有大小、又有正負方向的量,但由於其運算不滿足平行四邊形法則,公認為其不屬於向量)。向量常常在以符號加箭頭標示以區別於其它量。與向量相對的概念稱 標量或 數量,即只有大小、絕大多數情況下沒有方向(電流是特例)、不滿足平行四邊形法則的量。
向量的大小是相對的,在有需要時,會規定單位向量,以其長度作為1。每個方向上都有一個單位向量。
向量之間可以如數字一樣進行運算。常見的向量運算有:加法,減法,數乘向量以及向量之間的乘法(數量積和向量積)。
加法與減法
向量的加法滿足平行四邊形法則和三角形法則。具體地,兩個向量a和b相加,得到的是另一個向量。這個向量可以表示為a和b的起點重合後,以它們為鄰邊構成的平行四邊形的一條對角線,或者表示為將a的終點和b的起點重合後,從a的起點指向b的終點的向量:
兩個向量a和b的相減,則可以看成是向量a加上一個與b大小相等,方向相反的向量。又或者,a和b的相減得到的向量可以表示為a和b的起點重合後,從b的終點指向a的終點的向量:
矢量運算當這兩個向量數值、方向都不同,基本向量時,向量和計算為
矢量運算並且有如下的不等關係:
矢量運算此外,向量的加法也滿足交換律和結合律。
向量與積
矢量運算向量空間分為有限維向量空間與無限維向量空間。在有限維向量空間中,可以找到一組(有限個)向量,使得任意一個向量v都可以唯一地表示成這組向量的線性組合:
矢量運算
矢量運算其中的標量是隨著向量v而確定的。這樣的一組向量稱為向量空間的基。給定了向量空間以及一組基後,每個向量就可以用一個數組來表示了。兩個向量v和w相同,若且唯若表示它們的數組一樣。
矢量運算兩個向量v和w的和:
矢量運算它們的數量積為:
矢量運算而標量 k與向量 v的乘積則為:
矢量運算標量乘法
矢量運算一個標量 k和一個向量v之間可以做乘法,得出的結果是另一個與v方向相同或相反,大小為v的大小的| k|倍的向量,可以記成。該種運算被稱為 標量乘法或 數乘。-1乘以任意向量會得到它的反向量,0乘以任何向量都會得到零向量0。
數量積
數量積也叫點積,它是向量與向量的乘積,其結果為一個標量(非向量)。幾何上,數量積可以定義如下:
矢量運算設a、b為兩個任意向量,它們的夾角為,則他們的數量積為:
矢量運算
矢量運算即a向量在b向量方向上的投影長度(同方向為正反方向為負號),與a向量長度的乘積。 數量積被廣泛套用於物理中,如做功就是用力的向量乘位移的向量,即。
向量積
矢量運算
矢量運算向量積也叫叉積,外積,它也是向量與向量的乘積,不過需要注意的是,它的結果是個向量。它的幾何意義是所得的向量與被乘向量所在平面垂直,方向由右手定則規定,大小是兩個被乘向量張成的平行四邊形的面積。所以向量積不滿足交換律。舉例來說 但是。
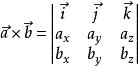
矢量運算設有向量,
則其向量積的矩陣表達式可用下列符號表示:
矢量運算混合積
三個向量a、b和c的混合積定義為,物理意義為三向量始於同點時所構成的體積:
矢量運算標積與矢積
一定要清晰地區分開標積與矢積。見下表。
| 名稱 | 標積 / 內積 / 數量級 / 點積 | 矢積 / 外積 / 向量積 / 叉積 |
| 運算式(a,b和c粗體字,表示向量) | a·b=|a||b|·cosθ | a×b=c,其中|c|=|a||b|·sinθ,c的方向遵守右手定則 |
| 幾何意義 | 向量a在向量b方向上的投影與向量b的模的乘積 | c的模等於以a和b為鄰邊的平行四邊形的面積 |
| 運算結果的區別 | 標量(常用於物理)/數量(常用於數學) | 矢量(常用於物理)/向量(常用於數學) |

