用法
相量僅適用於頻率相同的正弦電路.由於頻率一定,在描述電路物理量時就可以只需考慮振幅與相位,振幅與相位用一個複數表示,其中複數的模表示有效值,輻角表示初相位.這個複數在電子電工學中稱為相量.
兩同頻率正弦量疊加,表述為:Asin(ωt+α)+Bsin(ωt+β)=(Acosα+Bcosβ)sinωt+(Asinα+Bsinβ)cosωt.易知,疊加後頻率沒變,相位變化,而且服從相量( 複數)運算法則.故相量相加可以描述同頻率正弦量的疊加.
相量的的乘除可以表示相位的變化,例如:電感Ι電壓超前電流90度,用相量法表示為U=jχI,其中j為單位複數,χ為 感抗.
定理
相量形式的 KCL定律表示對於具有相同頻率的正弦電流電路中的任一結點,流出(或流入)該結點的全部 支路電流相量的代數和等於零。
相量形式的KVL定律表示對於具有相同頻率的正弦電流電路中的任一迴路,沿該迴路全部支路電壓相量的代數和等於零。
特別注意的是任一結點全部支路電流最大值(或 有效值)和沿任一迴路全部支路電壓振幅(或有效值)的代數和並不一定等於零。
電路元件
獨立源
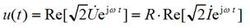
一個隨時間按正弦規律變化的電壓和電流,可以用一個稱為相量的複數來表示。已知正弦電壓電流的瞬時值表達式,可以得到相應的電壓電流相量。反過來,已知電壓電流相量,也能夠寫出正弦電壓電流的瞬時值表達式。
獨立源相量形式電阻元件
電阻元件相量形式由電阻電壓的相位與電阻電流的相位相同,U=RI有:
電阻元件相量形式推導電容元件
電容元件相量形式由電容電流超前於電容電壓90° ,I=dU/dt有
:
電感元件相量形式推導電感元件
電感元件相量形式由電感電壓的相位超前於電感電流的相位90°,U=di/dt有:
電容元件相量形式推導
