對稱分量
一組不對稱三相相量凔、妋、凗,當三者之和不為零(即凔+妋+凗≠0)時,可以分解成三組對稱三相相量,它們分別是:零序分量,記為凔0,妋0,凗0;正序分量,記為凔1,妋1,凗1;負序分量,記為凔2,妋2,凗2。由於三相電力系統中有三相交流電機、三相輸電線等三相電路元件,它們的電路參數在對稱的運行條件下較便於確定,因而將非對稱三相相量分解為三組對稱分量便可分別考慮在每一相序的電壓、電流作用下三相電路的工作情況,然後根據疊加定理得到三相電路的工作情況。零序分量如圖1所示,其特徵是3個相量大小相等且同相。
妋0=凔0
凗0=凔0
正序分量如圖2所示,其特徵是3個相量大小相等但不同相。三者按妋1滯後凔1,凗1滯後妋1,凔1又滯後凗1的順序互差120°,即妋1=a2凔1
凗1=a凔1
式中
其特徵類似正序分量,也是3個相量大小相等但不同相。不過,此時3個相量是按凗2滯後凔2,妋2滯後凗2,凔2又滯後妋2的順序互差120°,即 妋2=a凔2
凗2=a2凔2
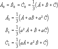
三組對稱分量與原不對稱三相相量的關係如下:

對稱分量
對稱分量
