簡定義
直紋面
直紋面如果曲面方程為,其中 為單位向量,則稱此曲面為 直紋面(ruled surface)。這時 v曲線為直線,因此直紋面是由一條條直線所織成,這些直線就稱為此直紋面的(直)母線。
在幾何形狀中,如果S的每個點都有一條直線,則表面S被刻紋(也稱為滾動)。實例包括平面,圓柱體或錐體的曲面,具有橢圓形矩陣的圓錐形表面,右鏇錐體,螺鏇體和切線可在空間中平滑曲線展開。
直紋面可以描述為由移動的直線掃過的一組點。例如,通過保持線的一個點固定而沿著圓移動另一個點來形成錐體。如果通過其每個點都有兩條不同的線,那么表面是雙重的。雙曲拋物面和一張雙曲面是雙重曲面。
被刻紋或再次刻紋的材料由投影圖保留,因此是投影幾何的概念。在代數幾何尺度表面有時被認為是在場上的仿射或投影空間中的表面,但它們有時被認為是抽象代數曲面,而不嵌入仿射或投影空間,在這種情況下,“直線”被理解為意味著仿射線或投影線。
微分幾何
參數表示
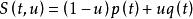
“移動線”視圖意味著格式表面具有表單的參數表示。
直紋面其中S(t,u)是表面上的通用點,p(t)是跟蹤位於表面上的曲線的點,r(t)是跟蹤單位球上曲線的單位長度向量。 因此,例如,如果使用
直紋面就會獲得一個包含Möbius條帶的刻紋表面。
或者,規則表面可以被參數化為
直紋面其中p和q是位於表面上的兩個非相交曲線。 特別地,當p(t)和q(t)沿兩條偏斜線以恆定的速度移動時,表面是雙曲拋物面,或者是 一張雙曲面。
可展開的表面
可展開的表面是可以(局部)展開在平面上而不撕裂或拉伸的表面。 如果一個可展開的表面位於三維歐幾里德空間,並且是完整的,那么它必然是刻紋的,但相反並非總是如此。 例如,氣缸和錐體是可展開的,但是一張單面的一般雙曲面不是。 更一般來說,三維中的任何可展開表面都是完整刻劃表面的一部分,因此本身必須局部排列。 有四個維度上嵌有可開發的表面。
規則表面
代數幾何中的規則表面
在代數幾何中,劃線表面最初定義為投影空間中的投影面,其中包含通過任何給定點的直線。這意味著在任何給定的點上表面上都有一個投影線,而且這個條件現在經常被用作一個刻劃面的定義:規則表面被定義為滿足這個條件的抽象投影面,即有一個投影線通過任何一點。這相當於說它們與曲線和投影線的乘積是相稱的。有時,一個規定的表面被定義為一個滿足更強的條件的曲面,它在具有作為投影線的纖維的曲線上具有振動。這不包括投影機,雖然每一個點都有一個投影線,但不能像這樣的一個振動。
由於Kodaira維數的每個代數表面都是一個規則表面(或者投影平面,如果使用限定曲面的限制性定義),則表面會出現在投影複合曲面的Enriques分類中。除了投影飛機之外,每個最小的投影刻度表面都是一條曲線上的二維矢量束的投影束。具有0級基線的規則表面是Hirzebruch表面。
結構中的規則表面
雙重曲面是曲線雙曲面結構的靈感,可以用直線元素的格線構建,即:
雙曲拋物面,如馬鞍屋頂。
一個單板的雙曲面,如冷卻塔和一些垃圾箱。
使用RM-81Agena火箭發動機採用直排冷卻通道,其布置在刻面上以形成噴嘴部分的喉部。

