概述
圖像直方圖是圖像處理中一種十分重要的分析工具,它描述了一幅圖像的灰度級內容。從數學上來說,圖像直方圖是圖像各灰度值統計特性與圖像灰度值的函式,它統計一幅圖像中各個灰度級出現的次數或機率;從圖形上來說,它是一個二維圖,橫坐標表示圖像中各個像素點的灰度級,縱坐標為各個灰度級上圖像像素點出現的次數或機率,它是圖像最基本的統計特徵。
直方圖有以下性質:
(1) 直方圖是一幅圖像中各像素灰度出現頻次的統計結果,它只反映圖像中不同灰度值出現的次數,而不反映某一灰度所在的位置。
(2) 任何一幅圖像,都有惟一確定的與它對應的直方圖,但不同的圖像可能有相同的直方圖。
(3) 由於直方圖是對具有相同灰度值的像素統計得到的,因此,一幅圖像各子區的直方圖之和就等於該圖像全圖的直方圖。
我們知道,直方圖均衡化處理有良好的圖像增強效果。從實現算法上可以看出,其優點主要在於能自動增強整幅圖像的對比度,但具體的增強效果也因此不易控制,只能得到全局均衡化處理的直方圖。然而在實際套用中,往往要根據不同的要求得到特定形狀的直方圖分布,以有選擇地對某灰度範圍進行局部的對比度增強,即想要得到已知直方圖的增強圖像。此時,可以採用直方圖的規定化處理,通過選擇合適的規定化函式取得期望的效果。直方圖規定化就是針對這種思想提出來的一種直方圖修正增強方法。所以,從某種意義上,直方圖規定化可看作是直方圖均衡化方法的改進。
基本原理
直方圖規定化的目的就是調整原始圖像的直方圖使之符合某一規定直方圖的要求.設 P(r)和P(z)分別表示原始灰度圖像和目標圖像的灰度分布機率密度函式.根據直方圖規 定化的特點與要求,應使原始圖像的直方圖具有P(z)所表示的形狀。因此.建立P(r)和 P(z)之間的關係是直方圖規定化必須解決的問題。
根據直方圖均衡化理論,首先對原始圖像進行直方圖均衡化處理.即求變換函式
直方圖規定化現假定直方圖規定化的目標圖像已經實現,因此,對於目標圖像也採用同樣的方法進行均衡化處理,因而有
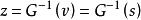
直方圖規定化上式的逆變換為
直方圖規定化上式表明,可通過均衡化後的灰度級v求出目標函式的灰度級z。由於對目標圖像和原始圖像都進行了均衡化處理,因此具有相同的分布密度,即
直方圖規定化因而可以用原始圖像均衡化以後的灰度級s代表v,即
直方圖規定化所以可以依據原始圖像均衡化後的圖像的灰度值得到目標圖像的灰度級z。
直方圖規定化方法
根據上述理論推導,可以得出直方圖規定化處理的一般步驟如下:
(1) 根據直方圖均衡化原理,對原始圖的直方圖進行灰度均衡化處理;
(2) 規按照目標圖像的機率密度函式P(z),求解目標圖像進行均衡化處理的變換函式G(z);
(3) 用原始圖像均衡化中得到的灰度級s代替v,求解逆變換z=G (s)。
經過上述處理得到的目標圖像的灰度級將具有事先規定的機率密度P(z)。上述變換過程中所包含的兩個變換函式T(r)和G (s)可形成複合函式,即可表示為
直方圖規定化由此可知,無需進行直方圖均衡化運算就可以直接實現直方圖規定化處理,通過複合函式關係有效的簡化了直方圖規定化處理過程,求出T(r)和G (s)之間的複合函式關係就可以直接對原始圖像進行變換。
效果示例
直方圖規定化圖3.3.2給出直方圖規定化的一個示例,這裡利用如圖3.3.2(b)所示的規定化函式對原始圖進行直方圖規定化的變換,得到的 結果見圖3.3.2(c)[其直方圖見圖3.3.2(d)所示]。由於規定化函式在高灰度區的值較大,所以與圖 3.2.3相比,變換的結果圖像比均衡化更亮,對應於均衡化圖中較暗區域的一些細節更為淸晰。從直方圖上看高灰度值一邊更為密集。
套用舉例
直方圖規定化,設計程式如下圖:
直方圖規定化程式運行結果如圖4.4所示:
直方圖規定化
