簡介
晶格的表面實質上是晶體與其蒸氣之間的界面,表面能便是這兩相之間的界面能。晶體內部界面上的原子周圍環境也與其他原子不同,因而界面的自由焓也高於晶粒內部。單位面積界面的自由焓稱為界面能,常用γ表示。
對於純金屬及單相合金,大角度晶界界面能最高。小角度晶界界面能較低,而且位向差越小,界面能越低。共格孿晶界界面能最低。對於合金中的相界,非共格相界界面能最高,共格相界界面能最低,半共格相界界面能居中。
界面能的各向異性
19世紀末,人們已開始研究晶體的外觀形貌。Gibbs首先指出,晶體體積恆定,且無外力作用時,晶體的幾何形狀使總表面能為最小。Wulff進一步指出,晶體在逼近平衡時將調整自己的形狀,以使其本身的總表面能降至最小。顯然,晶體的表面能是晶體取向的函式。在晶體中,原子排列的情況是隨晶面而異的,這也決定了界面能的各向異性。界面能的各向異性通常用γ能級圖和Wulff結構圖來表示。
界面能Gibbs和Wulff定理可用下式描述,在恆溫、恆壓平衡狀態下,一定體積的晶體具有的總表面能應最小,公式為: 最小值。
界面能的測量
界面張力平衡法
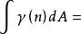
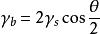
大多數界面能的測量可利用界棱處3個界面張力的平衡關係進行。界棱處的3個兩面角可由實驗直接測定,根據平衡關係(如下左圖):
界面能或
界面能當已知其中一個界面能,另兩個便可算出。如已知某種金屬的表面能,也可利用表面張力的平衡求得界面能。一光滑表面在惰性氣體或真空中長時間加熱,為保持界面張力平衡,通過原子擴散,在界面與表面相接部分形成熱蝕溝,如下右圖所示。
溝槽處界面張力的平衡是
界面能
界面能測出溝槽張角θ,可求出界面能γ。如已知γ,可求得表面能γ。α角的測量可以金相法在垂直表面的截面上進行,也可用干涉顯微鏡直接在表面上進行。
測量界面能的動力學方法
金屬中發生的許多過程都與界面能有關。界面能在這些過程中起著促進或阻礙作用。在這些過程的動力學表達式中包含著界面能。因此,如果表達式中的其他參數可測,便可求得界面能。例如可利用第二相顆粒聚集長大的動力學方程測定基體相與第二相之間的相界能。方程具有以下形式
界面能式中,γ為相界能,r為開始長大前第二相顆粒的平均半徑,r為溫度T時間t時顆粒的平均半徑,D為溶質在基體相中的擴散係數,C為溫度T時溶質在基體相中的平衡溶解度,V為第二相的原子體積,k為波爾茲曼常數。由於表達式在推導時作了一些假設,因此測量的數據與其他方法測得者有較大偏差。
界面能的作用
界面能是形核的阻力,在形核過程中它起很重要的作用。在固態相變中,新相和母相均是晶體,因此新相和母相在界面上的原子排列結構有可能完全匹配(完全共格界面)、不完全匹配(半共格界面)以及混亂的完全不匹配(非共格界面)三種情況。顯然,兩相間界面能隨著界面兩側原子排列匹配程度加大而減小,兩相在界面上匹配程度取決於兩相在界面上晶面間的錯配度的大小。形核時總希望有最低的總表面能。非共格的界面能太高以至於基本上不可能形成全部界面都是非共格界面的核心。如果調整核心和母相的取向關係,使核心出現儘量多的共格或半共格界面,這樣會減小形核功,形核過程便易於進行。如果母相和穩定的新相的晶體結構差異很大.以至於不管新、母相如何調整取向關係也不可能形成共格的低能界面,則有可能形成與母相呈共格界面關係的另一種亞穩定相晶核。對於共格界面,界面兩側原子排列的間距差異是由兩相的彈性應變能承擔的。當新相長大到較大尺寸時,引起的彈性應變能太大,將會在界面上引入位錯網路來降低彈性應變能,這時界面變成半共格界面。新相長大到更大尺寸時,共格(半共格)關係使總界面能的減少不足以補償維持共格(半共格)所引起的彈性能或結構能,新相和母相間就失去共格關係。另外,如果轉變過程中母相因再結晶或晶粒長大改變了母相的晶體取向,也會使新相和母相間的共格關係喪失。
新相和母相的結構不同時,如果調整新相和母相的取向關係可能出現1個低能的共格或半共格界面,一般來說,不再會有其它匹配良好的面。
即是說,即使新相和母相選擇一定的取向關係可以出現共格或半共格界面,這樣的取向關係也不可能使1個三維的晶核的所有界面都是共格或半共格的,還一定會有部分界面是高能的非共格界面。如果作出新相界面取向和界面能的關係圖(γ圖),它大致地成球狀,但在垂直於共格(半共格)面方向有兩個很深的臍點,如下圖所示。按照Wulff法則可以知道新相的平衡形狀是圓盤狀,圓盤面平行於新相和母相良好匹配面。圓盤的直徑和厚度的比值等於非共格界面能γ和共格(半共格)界面能γ的比值(γ/γ)。實際觀察到的析出相的形狀可能偏離這些理想形狀,因為上面的討論沒有考慮體積彈性應變能;另外,在長大時由於共格(半共格)面的遷移速度比非共格面低,所以圓盤的直徑和厚度比要比上述的大得多。
界面能
界面能
界面能
界面能
界面能根據上面討論的道理可以知道,新相往往在平行於母相的特定面析出,母相的這個面稱為慣習面(Habit Plane,也有人譯為慣析面)。同時又可以知道片狀析出相一般都會和母相有一定的取向關係。有取向關係的典型例子如:Al(母相,fcc結構)-AgAl(析出相,hcp結構),它們間的取向關係是 ,慣習面是 。又如Al-Cu合金中的AI(母相,fcc結構)-θ(析出相,tet結構),它們間的取相關係是 (001),慣習面是 。
界面能有一些體系它們之間僅有匹配好的方向,例如Fe-Cu系, ,析出相是針狀的。
如果新相界面的γ圖是各向同性的,即γ圖近似球狀,這樣析出的新相核心的是球狀的。有兩種情況新相界面取向的γ圖是球狀的:其一是當母相和新相的結構相同,二者的點陣常數又相近的情況,例如AI-Ag合金中脫溶析出的“G.P區”就是球狀的;其二是當母相和新相之間完全找不到可以匹配良好的晶面和晶向的情況,這時新相界面的任何取向都只能是非共格界面,核心也是球狀。
界面能對界面穩定性的影響
固液界面在偶然因素干擾下產生凸緣,因而增加了固液界面的面積,這就使固液界面的總界面能增加了。我們知道,界面能的增加就提高了系統的自由能。而在平衡條件下系統的自由能有縮小的趨勢,於是固液界面面積就趨於縮小,這將促使平坦界面上的凸緣趨於消失。因而界面能是促進生長界面穩定的因素。理論分析表明,如果幹擾較小(在干擾初期),凸緣的尺寸小於微米數量級,則界面能對界面穩定性的貢獻較大。如果凸緣已經長大了,其尺寸超過微米數量級,則表面能的作用就不大了。
界面能對聚集形態的影響
維塞克(T.Vicsek)在DLA模型的基礎上,在界面生長中引入表面張力,考慮了吉布斯-湯姆遜效應對界面生長的影響。當兩平衡的界面是曲面時,其平衡溫度和濃度等參量是界面曲率的函式。對於一個隨機起伏、不斷分叉的生長界面,其界面上各點的化學勢將是不等的,因而導致沿著生長界面的質量和能量的輸運。其結果是生長界面上一些細微的溝槽和港灣被填平,整個界面趨向平滑。在具體的計算機模擬實驗中,維塞克讓粒子以無規行走的方式(對應於非局域的擴散場)來到聚集簇附近,這對應於DLA的傳輸過程。但在界面過程中補充了兩個規則:①假設粒子的粘著幾率是與表面的局域曲率有關,如果粒子不粘著於表面,就將繼續擴散;②當粒子一旦著陸以後,就將弛豫到附近的能量更低的坐位(具有最大數目被占近鄰的坐位)。這一方法實際上結合了兩種方法:一是對於個別聚集粒子的擴散運動的直接模擬;另一是對於凝固問題的連續統方程的蒙特卡羅模擬。這裡的粘著幾率與界面曲率有關相當於連續統理論中吉布斯一湯姆遜關係式確定的邊值條件;而表面弛豫用來模擬凝固表面上分子的調整位置的動力學過程,這樣可以導致空洞的消失,更加緻密的基體和光滑的表面。
為了模擬定向凝固,人們可以讓粒子沉積在一條線上(而不是一個點上);為了模擬界面以一速率運動,可以引入有偏向的無規行走,即定義朝向界面運動的幾率P大於離開界面運動的幾率,所得結果如圖所示。這裡呈現的胞狀界面的圖像與實驗觀測的結果頗為相似。
界面能