性質
分子結構圖甲酯除草醚,又名必芬諾、茅丹、茅毒、治草醚,化學式為C14H9Cl2NO5。蒸氣壓(30℃)為0.32×10-3Pa。溶解度(g/kg):丙酮400,二甲苯300,氯苯50,乙醇10。其水溶液為pH5-7.3時是穩定的,當時pH為9時,則立刻分解。
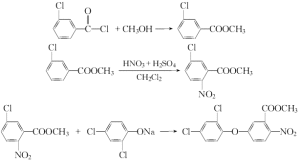
製備方法
製備方法一
製備方法一以苯甲醯氯、氯氣、2,4-二氯苯酚為主要原料,進行下列反應而得。
1.間氯苯甲醯氯的製備
將苯甲醯氯281g、鐵粉1.4g及硫黃0.56g投入反應瓶中。保持溫度20℃,通氯氯化,約2.5h。然後通氮氣趕除光氣和反應生成的氯化氫氣體而得。
2.間氯苯甲酸甲酯的製備
將甲醇慢慢地加入攪拌下的間氯苯甲醯氯中(醯氯:甲醇=1.0:1.1摩爾比)。在25-68℃之間行酯化反應,回流2-3h,反應過程中有大量氯化氫放出,回收過量的甲醇而得。
3.5-氯-2-硝基苯甲酸甲酯的製備
往反應瓶中加入853g間氯苯甲酸甲酯,和500g1,2-二氯乙烷,冷卻至-10℃,滴加338g95%的發煙硝酸(5.1mol)和816g96%硫酸(8mol)的混合酸,約3h滴完。在-10℃下攪拌反應2h,再升溫至30℃攪拌反應3h。分出有機層,過濾,乾燥而得。
4.甲酯除草醚的製備
將固體碳酸鉀(97%)189g,加入攪拌下的2,4-二氯苯酚(97%)419g及960ml二甲基甲醯胺溶劑中,加熱回流1h,伴有二氧化碳放出,約50%的二甲基甲醯胺蒸出之後,將5-氯-2-硝基苯甲酸甲酯(80%)638g加入攪拌下的95%的酚鹽中。加完後,在100℃反應3h,脫溶後加甲醇使產品溶解,冷卻,濾除氯化鉀。濾液冷卻結晶而得,熔點84-86℃。配製成10%顆粒劑,21%乳油,25%可濕性粉劑。
製備方法二
製備方法二主要用途
甲酯除草醚是一種光合作用抑制劑,能被葉片較快地吸收,但在植物體內傳導速度較慢。它是芽前除草劑,主要用於大豆除草。具有施藥量少,除草譜廣,對土壤適應性強,不受氣溫影響等優點。
安全性
對水是稍微有危害的不要讓未稀釋或大量的產品接觸地下水、水道或者污水系統,若無政府許可,勿將材料排入周圍環境。
毒性
常規情況下不會分解,沒有危險反應
無嚴重吸入毒性,對眼無刺激。高劑量詞餵大鼠和火不產生病理學及組織學變化。無致畸、致癌、致突變作用。
儲存
密封、陰涼、乾燥保存
相關參數
1、疏水參數計算參考值(XlogP):4.5
2、氫鍵供體數量:0
3、氫鍵受體數量:5
4、可鏇轉化學鍵數量:4
5、互變異構體數量:340
6、拓撲分子極性表面積(TPSA):78.7
7、重原子數量:22
8、表面電荷:0
9、複雜度:417
10、同位素原子數量:0
11、確定原子立構中心數量:0
12、不確定原子立構中心數量:0
13、確定化學鍵立構中心數量:0
14、不確定化學鍵立構中心數量:0
15、共價鍵單元數量:1

