基本內容
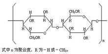
分子組成與結構式:
甲基纖維素⒈ 質量標準:Q/SHD005—2002
⒉英文名稱:Methyl cellulose
⒊漢語拼音 jiǎ jī xiān wéi sù
⒊中文別名:纖維素甲醚
4.俄語名稱:Метилцеллюлоза
中文名稱: 甲基纖維素
中文同義詞: 甲基纖維素;纖維素甲醚;纖維素甲基醚;甲基纖維素(藥用);甲基纖維素;甲基纖維素(MC);甲基纖維素(13-18MPA.S,20℃時2%的水溶液);甲基纖維素(1,000-1,800MPA.S,20℃時2%的水溶液)
英文名稱: Methyl cellulose
英文同義詞: MODIFIED CELLULOSE;MODIFIED CELLULOSE, MC;'TYLOSE'(R) MH 300;'TYLOSE'(R) MH 1000;adulsin;bagolax;bufaptomethalose;bulkaloid
CAS號: 9004-67-5
分子式: N/A
分子量: 0
EINECS號: 232-674-9
化學性質 一種纖維素的甲基醚。白色或淺黃或淺灰色小顆粒(95%過40目篩)、纖絲狀或粉末。無臭無味。
唯一成分標識(UNII):Methylcellulose(1500CPS): P0NTE48364 Methylcellulose(400CPS): O0GN6F9B2Y Methylcellulose(4000CPS): MRJ667KA5E
分子量:甲基纖維素是一種長鏈取代纖維素,其中約27%~32%的羥基以甲氧基的形式存在。不同級別的甲基纖維素具有不同的聚合度, 其範圍為50~1000;而其分子量(平均數) 的範圍在10000~220000Da之間,其取代度被定義為甲氧基(CH3O)的平均數,甲氧基則連線於鏈上的每一個葡萄糖酐單元。
理化性質
性狀
為白色或類白色纖維狀或顆粒狀粉末;無臭,無味。在水中溶脹成澄清或微渾濁的膠體溶液;在無水乙醇、氯仿或乙醚中不溶。
甲基纖維素貯藏與效期:密閉,在乾燥處保存。
類別:藥用輔料。
外觀
MC為白色或類白色纖維狀或顆粒狀粉末,無臭。平均分子量186.86n(n為聚合度),約18000~200000。
性狀:MC在無水乙醇、乙醚、丙酮中幾乎不溶。在80~90>;℃的熱水中迅速分散、溶脹,降溫後迅速溶解,水溶液在常溫下相當穩定,高溫時能凝膠,並且此凝膠能隨溫度的高低與溶液互相轉變。具有優良的潤濕性、分散性、粘接性、增稠性、乳化性、保水性和成膜性,以及對油脂的不透性。所成膜具有優良的韌性、柔曲性和透明度,因屬非離子型,可與其他的乳化劑配伍,但易鹽析,溶液在PH2-12範圍內穩定。
視密度:0.30-0.70g/cm3,密度約1.3g/cm3。
工業上甲基纖維素的理論取代度DS為1.5~2.0,鬆散密度0.35~0.55g/cm3.
質量指標
外觀灰白色纖維狀至粉米狀
甲基纖維素凝膠溫度(2%水溶液) 50~55℃
甲氧基含量 26%~33%
水不溶物 ≤2.0%
取代度(DS) 1.3~2.0
水分 ≤5.0%
黏度(20℃,2%水溶液) 15~4000mPa·s
套用價值
甲基纖維素用作水溶性膠黏劑的增稠劑,如氯丁膠乳的增稠劑。
也可用作氯乙烯、苯乙烯懸浮聚合的分散劑、乳化劑和穩定劑等。DS=2.4~2.7的MC溶於極性有機溶劑,可阻止溶劑(二氯甲烷一乙醇混合物)的揮發。
鑑別
⑴取該品1%的水溶液適量,置試管中,沿管壁緩緩加0.035%蒽酮的硫酸溶液2ml,放置,在兩液界面處顯藍綠色環。⑵取該品1%的水溶液10ml,加熱,溶液產生霧狀或片狀沉澱,冷卻後,沉澱溶解。⑶取該品1%的水溶液適量,傾倒在玻璃板上,俟水分蒸發後,形成一層有韌性的膜。
檢查
酸鹼度 取該品1.0g,加水100ml溶解後,依法測定(附錄Ⅵ H),pH值應為4.0~8.0。黏度 取該品適量,按乾燥品計算,加90℃的水製成2.0%(g/g)的溶液,充分攪拌約10分鐘。置冰浴中冷卻,冷卻過程中繼續攪拌,再保持40分鐘,調節重量,攪拌均勻,在20℃±0.1℃,以鏇轉式黏度計測定(附錄Ⅵ G 第二法),標示黏度小於或等於100mPa.s者,黏度應為標示黏度的80.0%~120.0%,標示黏度大於100mPa.s者,黏度應為標示黏度的75.0%~140.0%。乾燥失重 取該品,在105℃乾燥2小時,減失重量不得過5.0%(附錄Ⅷ L)。熾灼殘渣 取該品1.0g,依法檢查(附錄Ⅷ N)。遺留殘渣不得過1.0%。重金屬 取熾灼殘渣項下遺留的殘渣,依法檢查(附錄Ⅷ H 第二法),含重金屬不得過百萬分之二十。砷鹽 取該品1.0g,加氫氧化鈣1.0g,混合,加水攪拌均勻,乾燥後,先用小火灼燒使炭化,再在500~600℃熾灼使完全灰化,放冷,加鹽酸8ml與水23ml,依法檢查(附錄Ⅷ J 第一法),應符合規定(0.0002%)。
含量測定
取該品,精密稱定,照甲氧基測定法(附錄Ⅶ G)測定,即得。
本產品廣泛用於建築施工、建材、分散性塗料、壁紙糊料,聚合助劑,除漆劑、皮革、油墨、造紙等分別用作增稠劑、粘接劑、保水劑、成膜劑、賦形劑等。如在建材上用作粘合劑、增稠劑和保水劑,在塗料工業上用作成膜劑和增稠劑,另外在石油鑽探和日用化工等領域套用也較為廣泛。
溶解方法
溶解方法:
MC>;產品直接加入到水裡,會產生凝聚,接著溶解,但這樣溶解很慢,並且困難。下面建議三種溶解方法,用戶可根據使用情況,選擇最方便的方法:
1. 熱水法:由於MC不溶解在熱水裡,因而初期MC能夠均勻的分散在熱水中,隨後冷卻時,兩種典型的方法描述如下:
1). 在容器內放入需要量的熱水,並加熱到大約70℃。在慢慢攪拌下逐漸加入MC,開始MC浮在水的表面,然後逐漸形成一種淤漿,在攪拌下冷卻該淤漿。
2). 在容器內加入所需量1/3或2/3的水,並加熱到70℃,按1)的方法,分散MC,製備熱水淤漿;然後加入剩餘量的冷水或冰水至熱水淤漿中,攪拌之後冷卻該混合物。
2.粉末混合法:將MC粉末粒子與相等的或更大量的其它粉狀的配料,通過乾混合來充分分散,之後加水溶解,則此時MC可以溶解,而不凝聚。
3.有機溶劑濕潤法:將MC用有機溶劑,如乙醇、乙二醇或油預先分散或濕潤,然後加水溶解,則此時MC也可以順利地溶解。
實驗室分析
方法名稱:甲基纖維素—甲氧基的測定—甲氧基測定法
套用範圍:該方法採用甲氧基測定法測定甲基纖維素中甲氧基的含量。
該方法適用於甲基纖維素。
方法原理:供試品照甲氧基測定法,用硫代硫酸鈉滴定液(0.1mol/L)滴定,根據硫代硫酸鈉滴定液的用量,計算甲氧基的含量。
試劑:
1.硫代硫酸鈉滴定液(0.1mol/L)
⒉基準重鉻酸鉀
⒊苯酚
⒋氫碘酸
⒌醋酸鉀
⒍冰醋酸
⒎溴
⒏醋酸鈉
⒐甲酸
⒑碘化鉀
⒒稀硫酸
儀器設備:
試樣製備:1.硫代硫酸鈉滴定液(0.1mol/L)
配製:取硫代硫酸鈉26g與無水碳酸鈉0.20g,加新沸過的冷水適量使溶解成1000mL,搖勻,放置1個月後濾過。
標定:取在120℃乾燥恆重的基準重鉻酸鉀約0.15g,精密稱定,置碘瓶中,加水50mL使溶解,加碘化鉀2.0g ,輕輕振搖使溶解,加稀硫酸40mL,搖勻,密塞;在暗處放置10分鐘後,加水250mL稀釋,用本液滴定至近終點時,加澱粉指示液3mL,繼續滴定至藍色消失而顯亮綠色,並將滴定的結果用空白試驗校正。每1mL硫代硫酸鈉(0.1mol/L)相當於4.903g的重鉻酸鉀。根據本液的消耗量與重鉻酸鉀的取用量,算出本液的濃度,即得。
室溫在25℃以上是,應將反應液及稀釋用水降溫至約20℃。
操作步驟:取該品適量(相當於甲氧基10mg),精密稱定,置燒瓶中,加熔融的苯酚2.5mL與氫碘酸5mL,連線上述裝置;另在兩個 接收容器內分別加入10%醋酸鉀的冰醋酸溶液6mL與4mL,再各加溴0.2mL;通過支管將CO2或N2氣流緩慢而均勻地(每秒1~2各氣泡為宜)通入燒瓶,緩緩加熱使溫度控制在恰使沸騰液體的 蒸汽上升至冷凝管的半高度(約至30分鐘使油液溫度上升至135~140ºC),在此溫度下通常在45分鐘可完成反應(根據供試品的性質而定,如果供試品中含有多於兩個甲氧基時,加熱時間應延長到1~3小時)。而後拆除裝置,將兩至接收容器的內容物傾入250mL碘瓶(內盛25%醋酸鈉溶液5mL)中,並用水淋洗使中體積約為125mL,加入甲酸0.3mL轉度碘瓶至溴的顏色消失,再加入甲酸0.6mL密塞振搖,使過量的溴完全消失,放置1~2分鐘,加入碘化鉀1.0g與稀硫酸5mL,用硫代硫酸鈉滴定液(0.1mol/L)滴定,並將滴定結果用空白試驗校正。每1mL硫代硫酸鈉滴定液(0.1mol/L)相當於0.5172mg的甲氧基。
註:“精密稱取”系指稱取重量應準確至所稱取重量的千分之一。
參考文獻:中華人民共和國藥典,國家藥典委員會編,化學工業出版社,2005年版,二部,p898。
用途
用途一
該品廣泛用於建築業。如用水泥、灰漿、接縫膠泥等的混合劑。在化妝品、醫藥、食品工業中用作成膜劑的粘合劑,也用作鍅織印染上漿劑、合成樹脂分散劑、塗料成膜劑和增稠劑。甲基纖維是很穩定的物質,能耐酸、鹼、微生物、熱等的作用。在人體內,完全不發生變化而排泄出體外。
用途二
用作合成樹脂分散劑、塗料成膜劑、增稠劑、建築材料粘合劑、紡織印染上漿劑、藥物和食品工業的成膜劑等
用途三
增稠劑;穩定劑;乳化劑;賦形劑;分散劑;粘合劑;成膜劑水溶膠代用品。亦用於蛋黃醬、起酥油及其他某些食品。因本品在體內不消化,能保持數倍水分,造成飽腹感,可用於梳打餅乾、華夫餅乾等製成療效食品。使用時先用所需水量的約1/5熱水濕潤粉末,再加冷水(必要時可加冰)攪拌均勻。EEC:準用於冷凍發泡製品、土豆片、軟飲料、特殊膳食食品、焙烤品餡料、發泡頂端料、沙司、調味醬。
用途四
繪畫媒介中的乳化劑。製作坦佩拉媒介過程:1, 取甲基纖維素31克,兌入2.2升清水,攪拌溶解後即可使用,或者按纖維素與水1:25的體積比例均可,具體的溶解辦法參照上文。2,一份甲基纖維素溶液加半份達瑪上光油、半份亞麻仁油和一份水即可配成油性甲基纖維素乳液,其中很重要的一點是半份亞麻油最好是日曬稠亞麻油,核桃油亦可。選擇稠油可能增加媒介的合成幾率。混合順序要注意,先倒入油再倒入膠再倒入水的結果是油包水的結構,在倒入油和膠以後一定要充分搖晃再加入水,加入水以後亦需要快速搖晃混合。可選用可密封的長瓶作為混合容器。(要主意的是甲基纖維素易被鹽析,故而要保持材料的純淨,溶液溶解好之後儘早使用,以免粘度下降) 媒介檢測方法:把適量媒介與色粉混合,磨一會兒,如果有水珠析出,則為失敗。
穩定性和貯藏條件
甲基纖維素粉末穩定,儘管其微有稀釋性,散裝品應該置於氣密容器中,貯藏在陰涼、乾燥處。
甲基纖維素溶液在室溫下,對PH3-11的鹼和烯酸穩定。在PH低於3時,葡萄糖-葡萄糖鍵由於酸催化而水解,並導致溶液粘度降低。加熱時,溶液粘度下降直至在約50度時,形成凝膠。
甲基纖維素易被微生物破壞而腐敗,因此應該使用抗菌防腐劑。也可以對溶液進行熱壓滅菌,儘管此過程會使溶液的粘度降低。熱壓滅菌後,溶液粘度的變化與溶液PH有關。PH低於4的溶液在熱壓滅菌後,其粘度下降超過了20%。
功能與套用
包衣材料;乳化劑;助懸劑;片劑和膠囊劑的崩解劑;片劑的黏合劑;增黏劑。 甲基纖維素廣泛用於口服製劑和局部用製劑中,見下表 用途
給藥途徑:
口服,注射(關節注射、肌內注射、滑膜腔內注射),舌下,頰用,眼用,鼻用,軟組織,局部用,
經皮,牙用
。
安全
甲基纖維素廣泛套用於各種口服和局部用製劑中,也被廣泛套用於化妝品和食品中。通常被認為無毒、無致敏、無刺激性。 口服後,甲基纖維素不能被消化或吸收,因此是一種無熱量材料,過螢攝取甲基纖維索可能會暫時地增加腸胃氣脹和胃腸膨脹。 在普通個體中,口服大量甲基纖維素具有通便作用,因此中、髙黏度級纖維素可被用作增容通便劑。 如果將甲基纖維素吞服時伴隨的液體量不足,可能導致食道阻塞。
此外,大量攝取甲基纖維素可能會干擾一些礦物質的吸收,然而,上述不良作用和一些可能的不良作用主要與甲基纖維素作為通便劑有關,而當其作口服製劑輔料時,這些副作用就不再是主要因素了。 雖然已將甲基纖維素用於關節內注射劑和肌內注射劑中,但通常並不將它用於靜脈注射產品。大鼠體內研究表明,靜脈注射甲基纖維素可能會引起腎小球性腎炎和髙血壓。
WHO仍未規定本品的每日允許攝人量,因為它在食品中的套用被認為對健康無害。 LD50(小鼠,IP):275g/kg LDLo(小鼠,IV):1 g/kg
配伍禁忌
甲基纖維素與氨吖啶鹽酸鹽、氯甲酚、二氯化汞、酚、間苯二酚、鞣酸、硝酸銀.西吡氯銨、對羥苯甲酸、對氨基苯甲酸、羥苯甲酯、羥苯丙酯、羥苯丁酯均有配伍禁忌。 無機酸(尤其是多元酸〉鹽、苯酚及鞣酸可使甲基纖維素溶液凝結,但加人乙醇(95%)或乙二醇二乙酸可阻止此過程的發生。甲基纖維素可與高表面活性化合物,如丁卡因和硫酸地布妥林發生絡合。 高濃度電解質溶液可增加甲基纖維素黏膠劑的黏度,由於析出甲基纖維素所致,當甲基纖維素達到很高濃度時,它會以分離或連續的凝膠形式完全沉澱下來。
常用量及最用量
口服最大用量:183.60MG ;頰用/舌下最大用量:4.00MG; 關節內注射最大用量: 0.10%;肌內注射最大用量:0.10%; 眼用最大用量: 0.50%;局部用最大用量:1.50%
口服最大用量:607.5mg;經皮最大用量:150mg;一般外用劑最大用量:70mg/g;舌下用最大用量:8mg;眼用最大用量:5mg/g;牙用及口腔用最大用量160mg;其它外用最大用量:0.353mg
來源與制
本品是通過將木紙漿纖維鹼化,再將鹼化纖維素用一氯甲烷甲基化製成。最後將產品純化並碾碎至粉末狀。
管理情況
已列入GRAS。在歐洲準許用作食品添加劑.已收載於FDA《非活性組分指南》〔用於舌下片、肌內注射劑、眼用製劑、口服膠囊劑、口服混懸液及口服片劑、局部或陰道用製劑)。英國準許用於非注射用製劑中。

