三維流形幾何
三維流形幾何(the geometries of 3-mani-folds)是研究三維流形上的常曲率的幾何。
至今可以用三種方式來談論幾何,第一種:古典的歐氏幾何,在其中考慮點、線、面、角、長度等以及它們之間的相互關係,而且這種方法對於非歐幾何也適用;第二種:微分幾何;第三種是克萊因意義下的幾何,即考慮空間X與其上的一個可遷變換群G,所謂幾何(X,G)即考慮X在G之下的那些不變性.當然這三者只是立論不同而已,其內容有時是共通的.在這裡所論的幾何正是克萊因意義之下的幾何.由於流形M與它的泛覆疊空間X之間有相同的度量,所以為了討論流形M上的局部齊性度量,只須討論X上的齊性完備度量即可,其中G=Isom<X),即X上的保距群,並假定G有子群H,使得軌道空間(流形)X/H是緊緻的(稱為(X,G)有緊商)。當然,瑟斯頓也注意到在閉3維流形的非平凡連通和之中,除了RP3 # RP3以外,均無上述意義下的幾何,因此他的工作中也包含一些幾何猜想,即他認為任何緊緻、可定向3維流形,當用其中一些互不相交的球面與環面去切,並在球面的切口處再補上3維球體以後,必然有幾何結構.這些猜測之中包含著著名的龐加萊猜想,但是看來要證實它們還須走漫長的道路。在3維流形上存在常曲率幾何,這是近年來由瑟斯頓發展起來的一個新的研究課題,它對於流形性質的研究具有重要的意義。
黎曼流形
黎曼流形是一黎曼度量的微分流形.設M是n維光滑流形,若在M上給定一個光滑的二階協變張量場g,稱(M,g)為一個n維黎曼流形,g稱為該黎曼流形的基本張量或黎曼度量,如果滿足:
1.g是對稱的,即
g(X,Y)=g(Y,X) (X,Y∈TM,p∈M).
2.g是正定的,即
g(X,X)≥0 (X∈TM,p∈M),
且等號僅在X=0時成立。
簡單地說,黎曼流形就是給定了一個光滑的對稱、正定的二階張量場的光滑流形。
定理概念
球面定理(sphere theorem) 是3維流形理論中的一個基本定理,是大範圍黎曼幾何的一個重要結果。球面定理斷言:若M是一個緊緻單連通黎曼流形,其截面曲率K滿足:
球面定理則M同胚於球面。定理中的曲率條件可以改寫:
球面定理其中k是某正常數。但是,該條件不能改為1/4≤K≤1,因為復射影空間的標準度量的截面曲率滿足1/4≤K≤1;然而它不同胚於球面。
微分球面定理
球面定理是黎曼流形的曲率與拓撲中的重要研究課題,可以追溯到H.E.Rauch於1951年發表的論文。在那篇文章中,Rauch提出拓撲球面問題:對於一個緊緻單連通的黎曼流形,如果它的截面曲率位於(1,4]之間,那么該流形拓撲同胚於球面。這個問題最終由M.Berger和W.Klingenberg在60年代初解決。K.Grove和K.Shiohama證明了截面曲率的上界可以換為直徑的下界d(M)>π/2。曾有許多作者試圖將Berger-Klingenberg拓撲球面定理改進為微分球面定理。最近,S.Brendle和R.Schoen發展了Ricci流的方法,證明了截面曲率逐點拼擠條件下的微分球面定理這是黎曼幾何最近幾年發展的一項重要結果。最近,獲得了數量曲率拼擠條件下常曲率空間形式中完備子流形的最佳微分球面定理。研究人員曾證明,在截面曲率拼擠條件下,常曲率空間形式中的緊緻子流形拓撲同胚於球面。
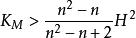
球面定理定理1:設M是曲率為正常數c的n+p維完備單連通空間形式中n≥4維緊緻定向的子流形。若M的截面曲率滿足:
球面定理則M拓撲同胚於n維球面。
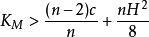
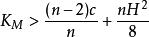
球面定理定理2:設M是曲率為正常數c的n+p維完備單連通空間形式中n≥4維緊緻定向的子流形。若M的截面曲率滿足:
球面定理
球面定理那么M微分同胚於標準球面。
球面定理
球面定理
球面定理
球面定理定理3:設M是歐式空間中n維緊緻定向的子流形。若,若M拓撲同胚於球面。特別地,當時,M微分同胚於標準球面。
